Официальное опубликование правовых актов
ОФИЦИАЛЬНОЕ ОПУБЛИКОВАНИЕ
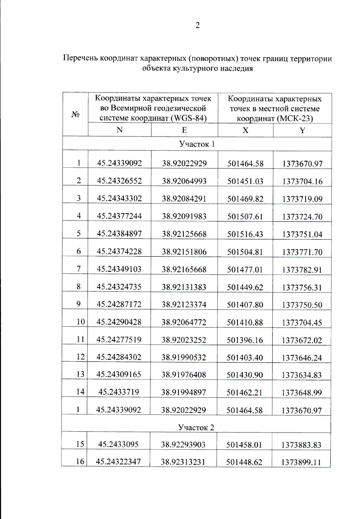
Приказ администрации Краснодарского края от 20.12.2023 № 1383-КН
"Об утверждении границ и режима использования территории объекта культурного наследия федерального значения "Курганная группа "Новотитаровская 2" (4 насыпи)", эпоха бронзы — позднее средневековье, Краснодарский край, Динской район, ст-ца Новотитаровская, 1,625 км к западу от северо-западного угла станицы"
Номер опубликования: 2301202312270038
Дата опубликования: 27.12.2023
Страница №4 из 6:
Увеличить