Официальное опубликование правовых актов
ОФИЦИАЛЬНОЕ ОПУБЛИКОВАНИЕ
Приказ администрации Краснодарского края от 13.12.2023 № 1226-КН
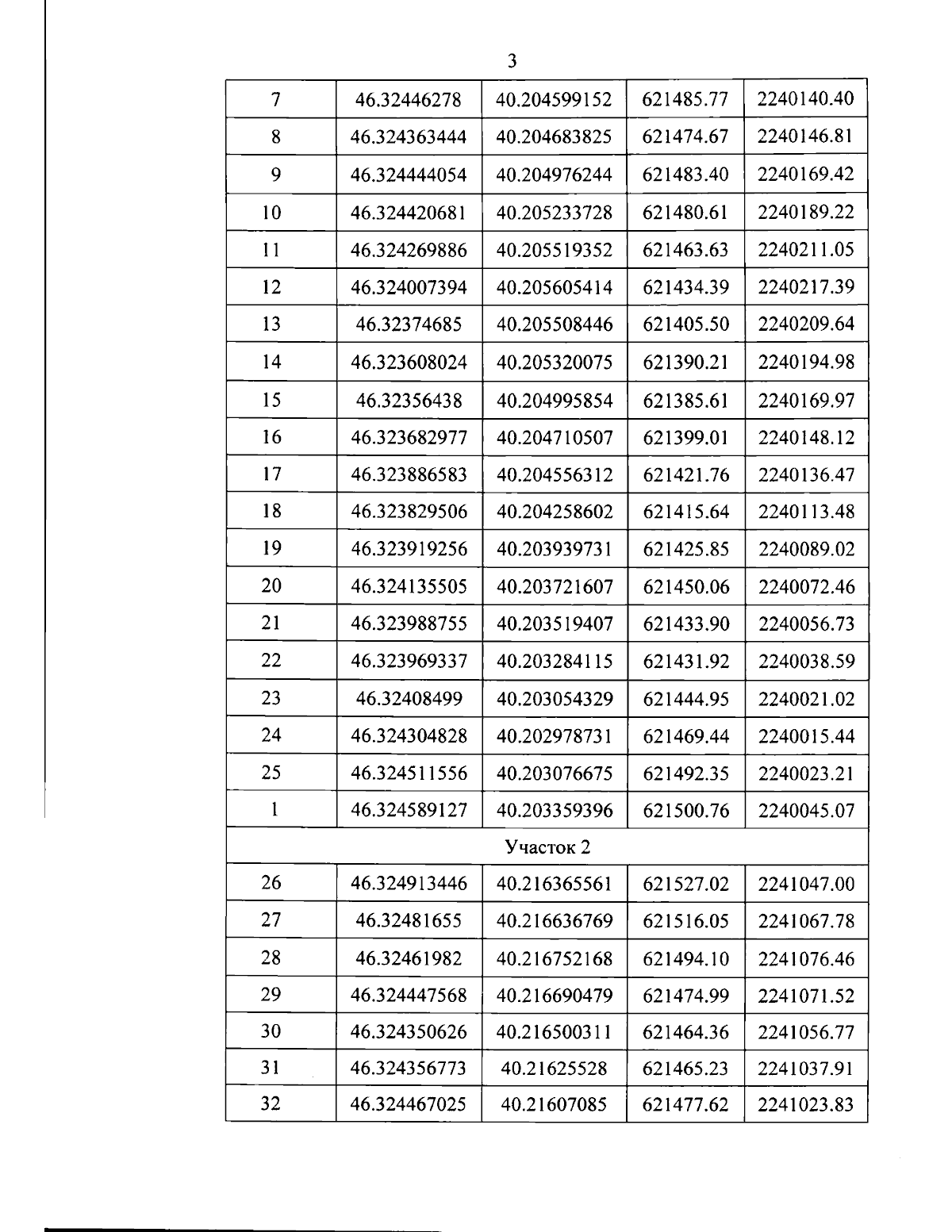
"Об утверждении границ и режима использования территории объекта культурного наследия федерального значения "Курганная группа "Кузнецов 3" (6 насыпей)", III тыс. до н.э. - XV в. н.э., Краснодарский край, Крыловский район, х. Ея, 3,5 км к северо-востоку от хутора"
Номер опубликования: 2301202312200009
Дата опубликования: 20.12.2023
Страница №5 из 7:
Увеличить