Официальное опубликование правовых актов
ОФИЦИАЛЬНОЕ ОПУБЛИКОВАНИЕ
Приказ администрации Краснодарского края от 13.12.2023 № 1234-КН
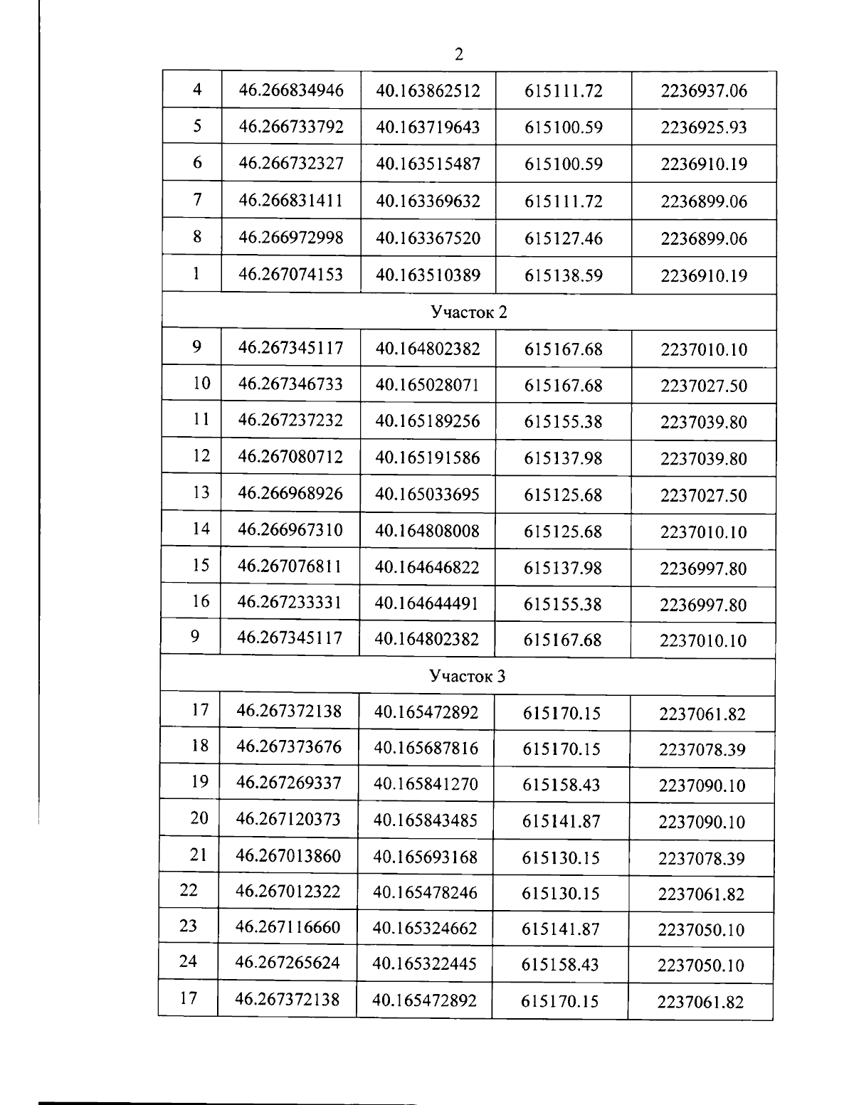
"Об утверждении границ и режима использования территории объекта культурного наследия федерального значения "Курганная группа "Ея 3" (4 насыпи)", III тыс. до н.э. - XV в. н.э., Краснодарский край, Крыловский район, х. Ея, 2 км к юго-западу от хутора"
Номер опубликования: 2301202312200001
Дата опубликования: 20.12.2023
Страница №4 из 6:
Увеличить