Официальное опубликование правовых актов
ОФИЦИАЛЬНОЕ ОПУБЛИКОВАНИЕ
Приказ администрации Краснодарского края от 01.12.2023 № 1067-КН
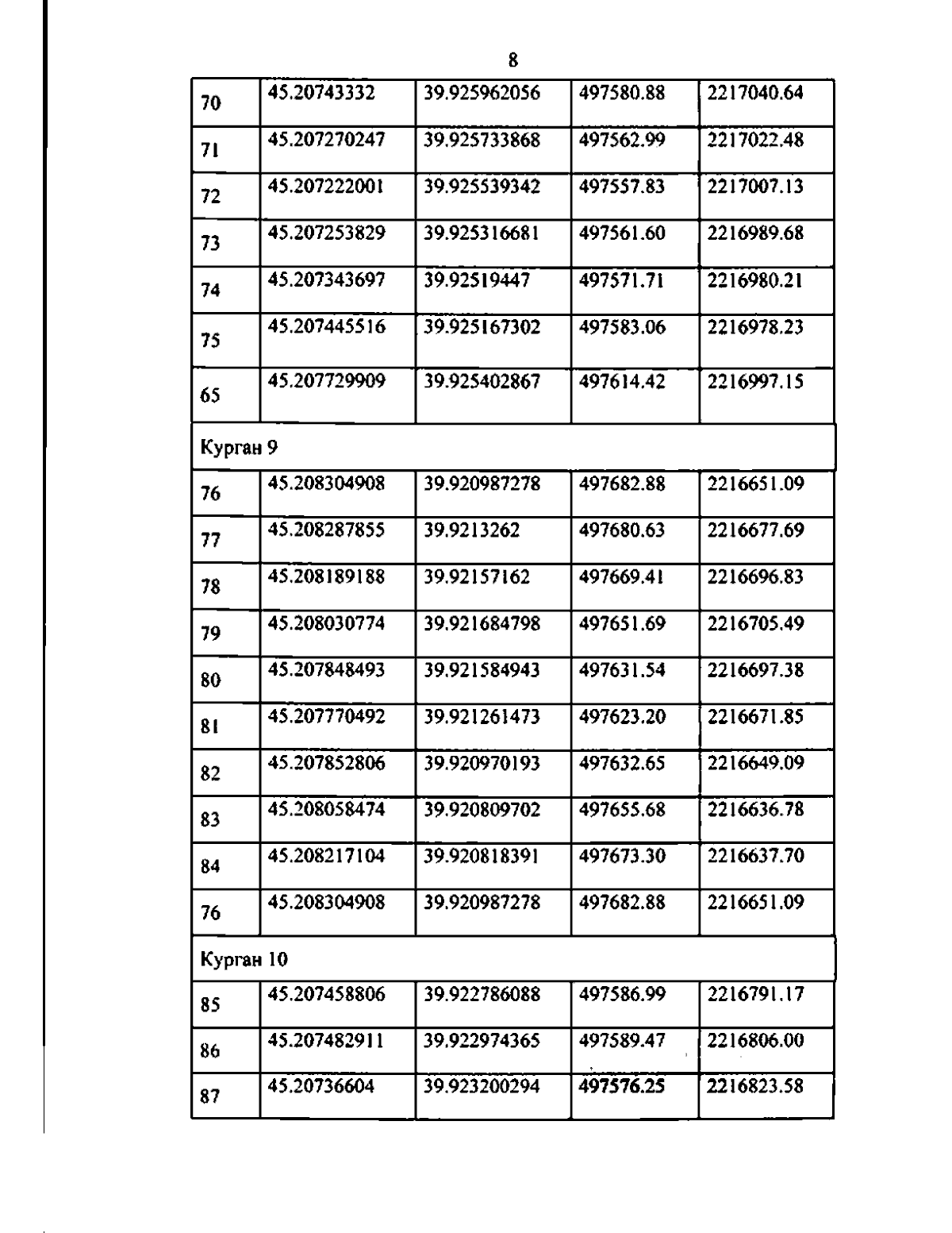
"Об утверждении границ и режима использования территории объекта культурного наследия федерального значения "Курганная группа", эпоха бронзы – средневековье, Краснодарский край, Усть-Лабинский район, х. Семенов, 0,25 км к югу от хутора"
Номер опубликования: 2301202312080026
Дата опубликования: 08.12.2023
Страница №10 из 13:
Увеличить