Официальное опубликование правовых актов
ОФИЦИАЛЬНОЕ ОПУБЛИКОВАНИЕ
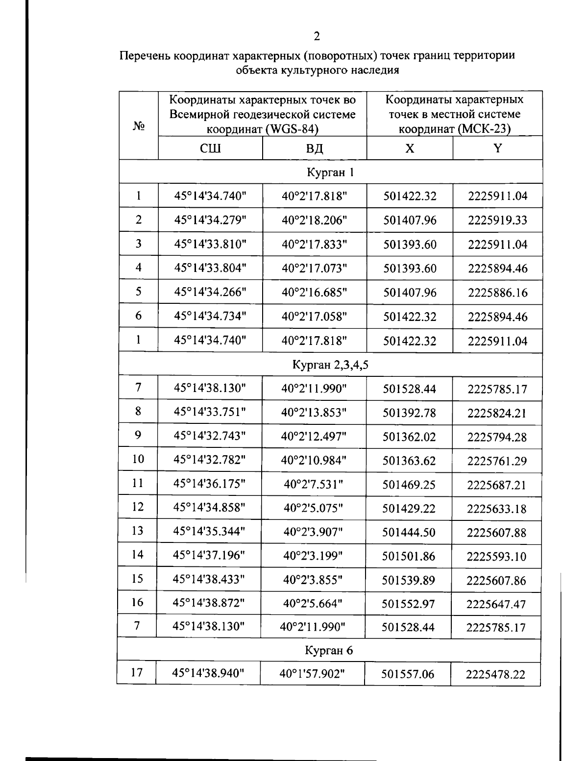
Приказ администрации Краснодарского края от 01.12.2023 № 1064-КН
"Об утверждении границ и режима использования территории объекта культурного наследия федерального значения "Курганная группа", эпоха бронзы – средневековье, Краснодарский край, Усть-Лабинский район, х. Свободный, 0,61 км к юго-юго-востоку от хутора"
Номер опубликования: 2301202312080025
Дата опубликования: 08.12.2023
Страница №4 из 6:
Увеличить