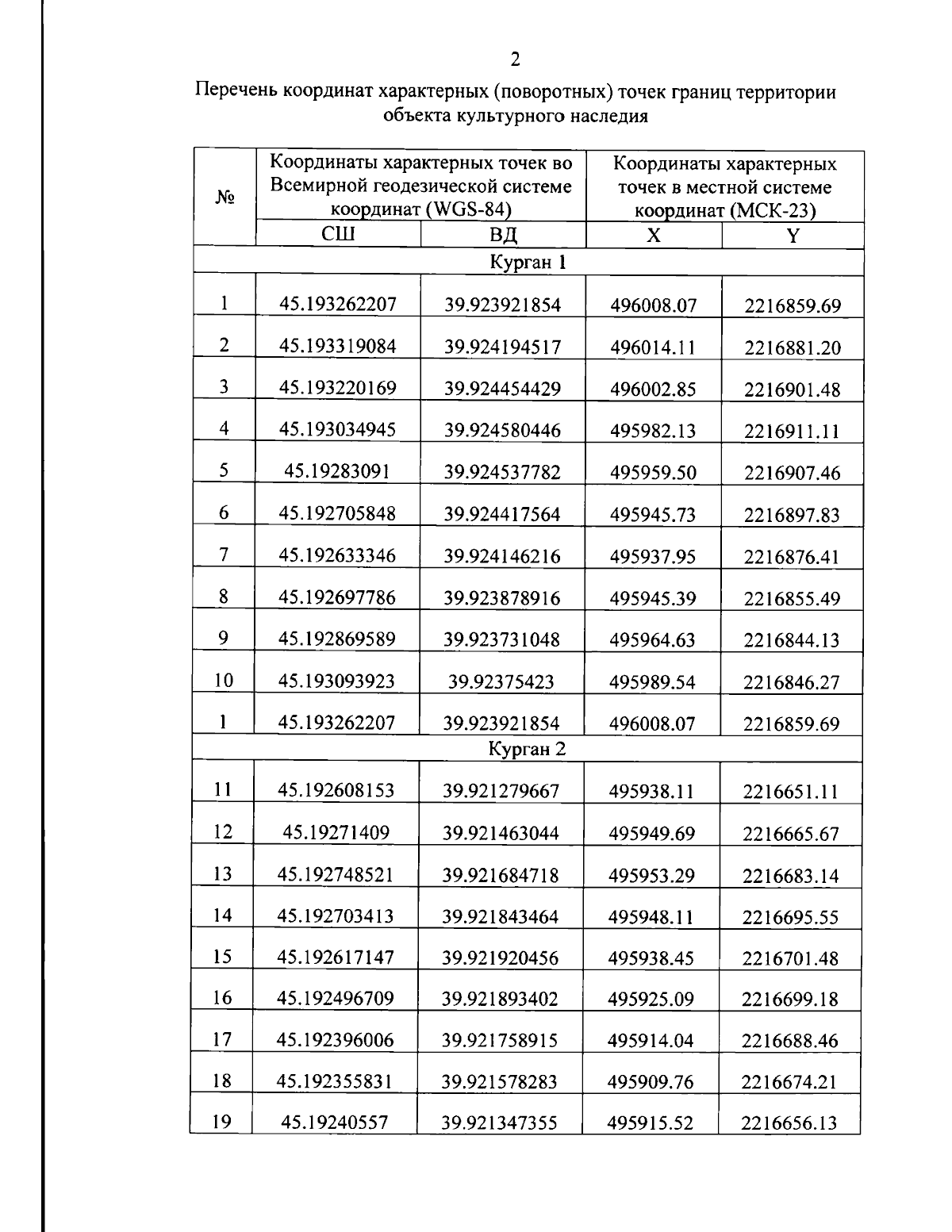
Приказ администрации Краснодарского края от 30.11.2023 № 1040-КН
"Об утверждении границ и режима использования территории объекта культурного наследия федерального значения "Курганная группа", эпоха бронзы – позднее средневековье, Краснодарский край, Усть-Лабинский район, ст-ца Новолабинская, 7,78 км к северо-востоку от станицы"
"Об утверждении границ и режима использования территории объекта культурного наследия федерального значения "Курганная группа", эпоха бронзы – позднее средневековье, Краснодарский край, Усть-Лабинский район, ст-ца Новолабинская, 7,78 км к северо-востоку от станицы"
Номер опубликования: 2301202312070020
Дата опубликования:
07.12.2023
