Официальное опубликование правовых актов
ОФИЦИАЛЬНОЕ ОПУБЛИКОВАНИЕ
Приказ департамента имущественных отношений Краснодарского края от 22.07.2019 № 1401
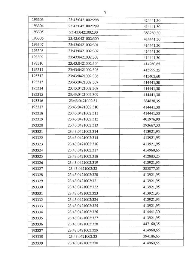
"О внесении изменений в приказ департамента имущественных отношений Краснодарского края от 27 ноября 2015 г. № 1609 "Об утверждении результатов государственной кадастровой оценки земель сельскохозяйственного назначения на территории Краснодарского края"
Номер опубликования: 2301201907290007
Дата опубликования: 29.07.2019
Страница №9 из 18:
Увеличить