Официальное опубликование правовых актов
ОФИЦИАЛЬНОЕ ОПУБЛИКОВАНИЕ
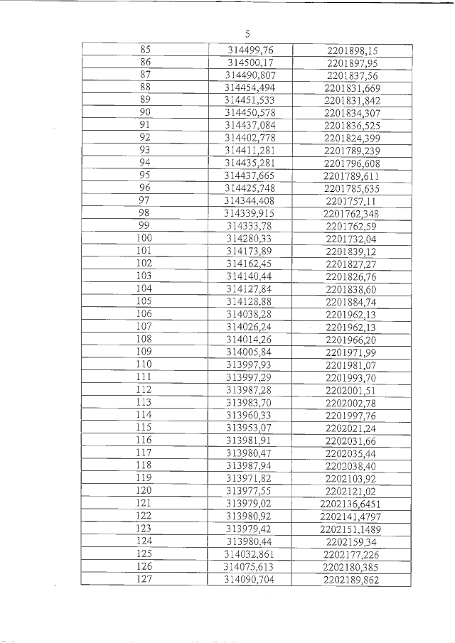
Приказ администрации Краснодарского края от 20.05.2019 № 72-КН
"Об утверждении зон охраны объекта культурного наследия федерального значения "Санаторий им. С. Орджоникидзе", 1934-1937 гг.‚ расположенного по адресу: Краснодарский край, г. Сочи, Хостинский район, Курортный проспект, 96/5"
Номер опубликования: 2301201905270004
Дата опубликования: 27.05.2019
Страница №10 из 43:
Увеличить