Официальное опубликование правовых актов
ОФИЦИАЛЬНОЕ ОПУБЛИКОВАНИЕ
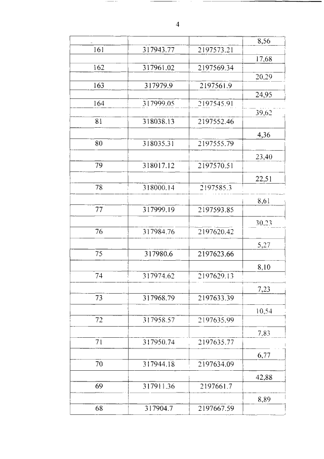
Приказ администрации Краснодарского края от 14.11.2018 № 284-КН
"Об утверждении границ зон охраны объекта культурного наследия регионального значения – ансамбля "Парк "Ривьера", 1898 г., Краснодарский край, г. Сочи, Центральный район, ул. Егорова, 1"
Номер опубликования: 2301201811210001
Дата опубликования: 21.11.2018
Страница №8 из 29:
Увеличить