Постановление Губернатора Краснодарского края от 24.12.2025 № 895
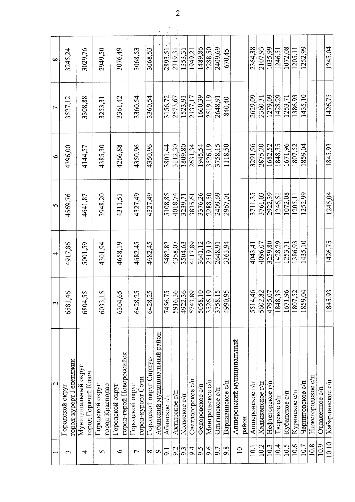
"О внесении изменений в постановление Губернатора Краснодарского края от 27 ноября 2024 г. № 826 "Об установлении размера региональных стандартов стоимости жилищно-коммунальных услуг в Краснодарском крае на 2025 год"
"О внесении изменений в постановление Губернатора Краснодарского края от 27 ноября 2024 г. № 826 "Об установлении размера региональных стандартов стоимости жилищно-коммунальных услуг в Краснодарском крае на 2025 год"
Номер опубликования: 2300202512290015
Дата опубликования:
29.12.2025
