Официальное опубликование правовых актов
ОФИЦИАЛЬНОЕ ОПУБЛИКОВАНИЕ
Постановление Губернатора Краснодарского края от 06.02.2025 № 41
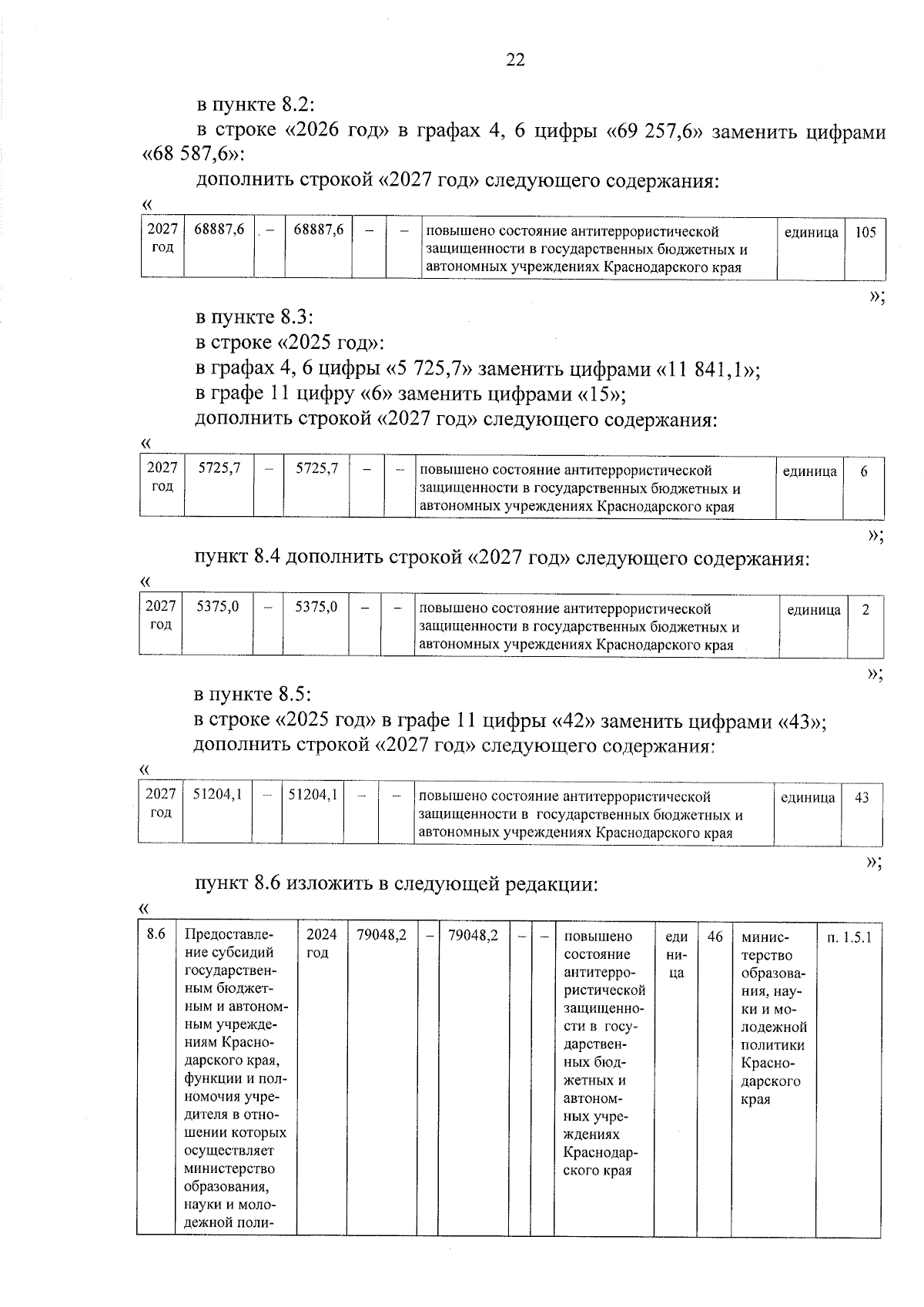
"О внесении изменений в постановление главы администрации (губернатора) Краснодарского края от 16 ноября 2015 г. № 1039 "Об утверждении государственной программы Краснодарского края "Обеспечение безопасности населения"
Номер опубликования: 2300202502130004
Дата опубликования: 13.02.2025
Страница №23 из 31:
Увеличить