Официальное опубликование правовых актов
ОФИЦИАЛЬНОЕ ОПУБЛИКОВАНИЕ
Постановление Губернатора Краснодарского края от 06.09.2024 № 573
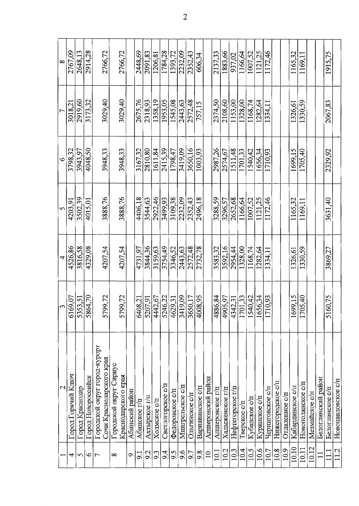
"О внесении изменений в постановление Губернатора Краснодарского края от 11 декабря 2023 г. № 1030 "Об установлении размера региональных стандартов стоимости жилищно-коммунальных услуг‚ в Краснодарском крае на 2024 год"
Номер опубликования: 2300202409130007
Дата опубликования: 13.09.2024
Страница №3 из 57:
Увеличить