Официальное опубликование правовых актов
ОФИЦИАЛЬНОЕ ОПУБЛИКОВАНИЕ
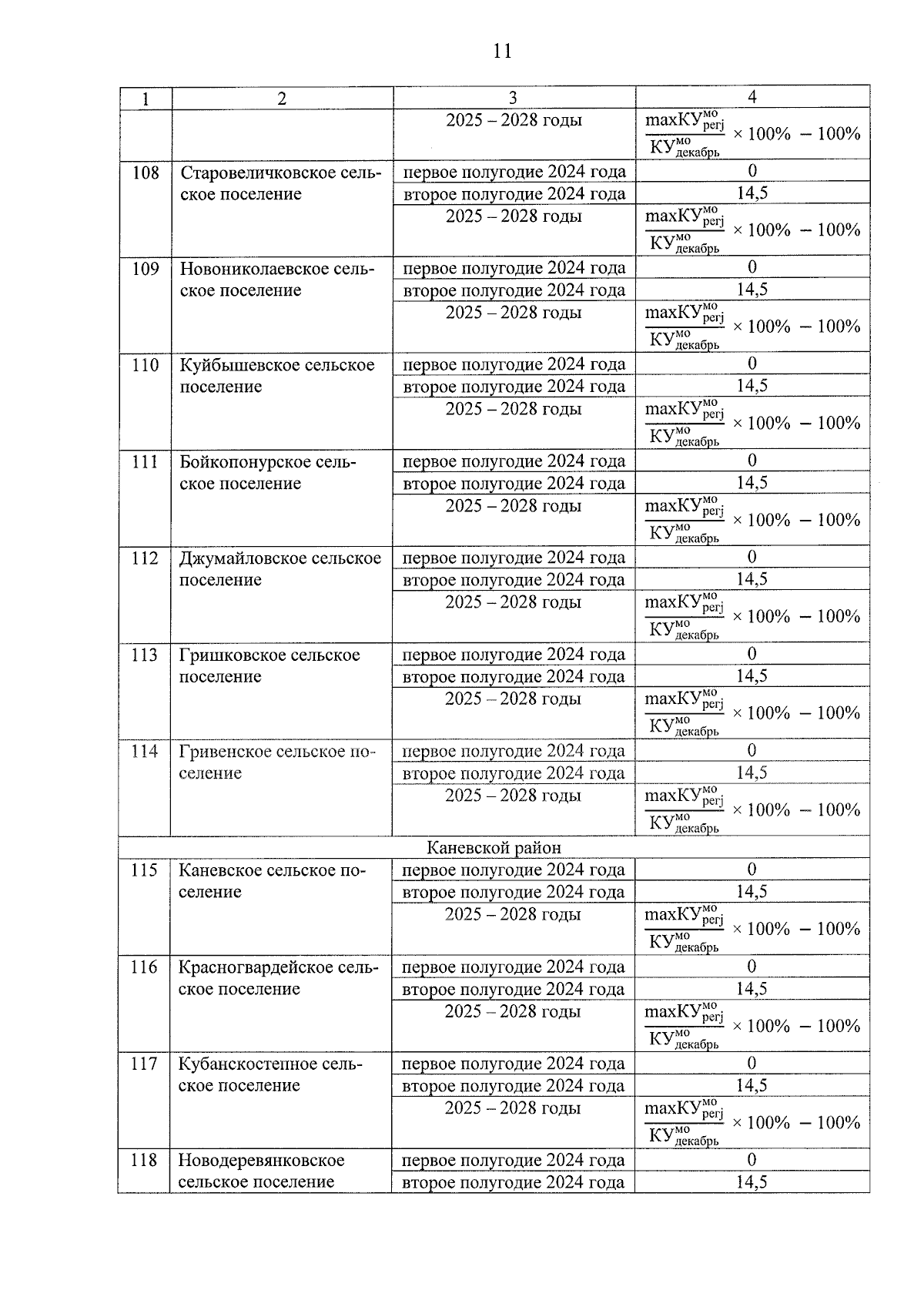
Постановление Губернатора Краснодарского края от 11.12.2023 № 1040
"Об утверждении предельных (максимальных) индексов изменения размера вносимой гражданами платы за коммунальные услуги в муниципальных образованиях Краснодарского края на 2024 – 2028 годы"
Номер опубликования: 2300202312190024
Дата опубликования: 19.12.2023
Страница №12 из 495:
Увеличить