Официальное опубликование правовых актов
ОФИЦИАЛЬНОЕ ОПУБЛИКОВАНИЕ
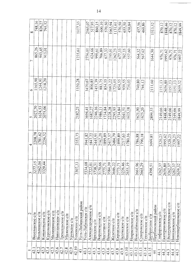
Постановление главы администрации (губернатора) Краснодарского края от 17.12.2018 № 829
"Об установлении размера региональных стандартов стоимости жилищно-коммунальных услуг в Краснодарском крае на 2019 год"
Номер опубликования: 2300201812240002
Дата опубликования: 24.12.2018
Страница №15 из 61:
Увеличить