Официальное опубликование правовых актов
ОФИЦИАЛЬНОЕ ОПУБЛИКОВАНИЕ
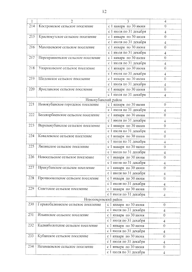
Постановление главы администрации (губернатора) Краснодарского края от 15.12.2017 № 967
"Об утверждении предельных (максимальных) индексов изменения размера вносимой гражданами платы за коммунальные услуги в муниципальных образованиях Краснодарского края на 2018 год"
Номер опубликования: 2300201712210001
Дата опубликования: 21.12.2017
Страница №13 из 149:
Увеличить