Официальное опубликование правовых актов
ОФИЦИАЛЬНОЕ ОПУБЛИКОВАНИЕ
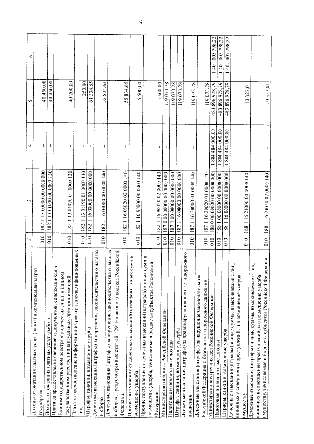
Постановление главы администрации (губернатора) Краснодарского края от 22.05.2017 № 367
"Об утверждении отчета об исполнении краевого бюджета за первый квартал 2017 года"
Номер опубликования: 2300201705290007
Дата опубликования: 29.05.2017
Страница №10 из 251:
Увеличить