Официальное опубликование правовых актов
ОФИЦИАЛЬНОЕ ОПУБЛИКОВАНИЕ
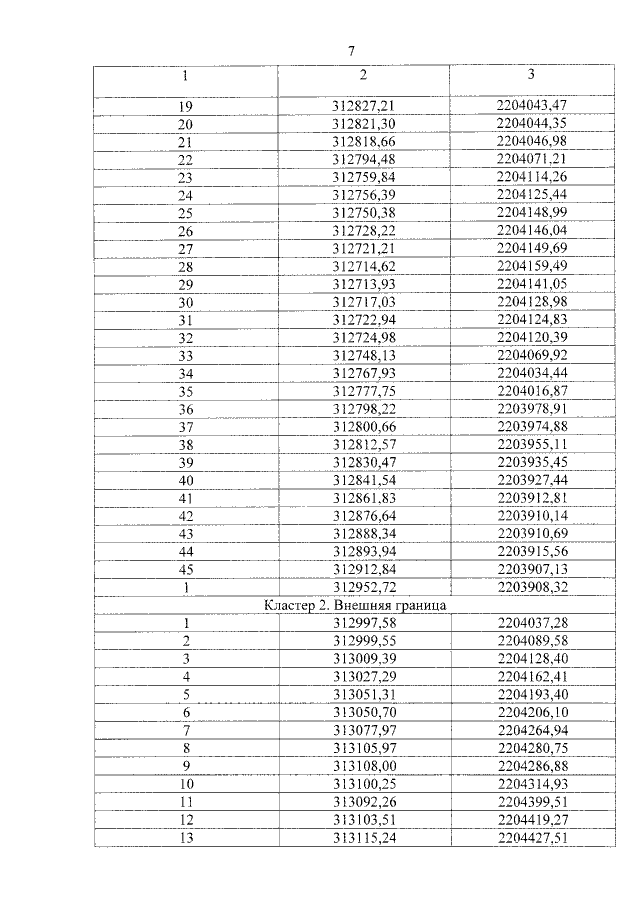
Постановление главы администрации (губернатора) Краснодарского края от 16.05.2017 № 331
"Об утверждении границ и режима особой охраны особо охраняемой природной территории регионального значения дендрологический парк "Зеленая роща" и о внесении изменений в некоторые правовые акты главы администрации (губернатора) Краснодарского края"
Номер опубликования: 2300201705230002
Дата опубликования: 23.05.2017
Страница №9 из 24:
Увеличить