Официальное опубликование правовых актов
ОФИЦИАЛЬНОЕ ОПУБЛИКОВАНИЕ
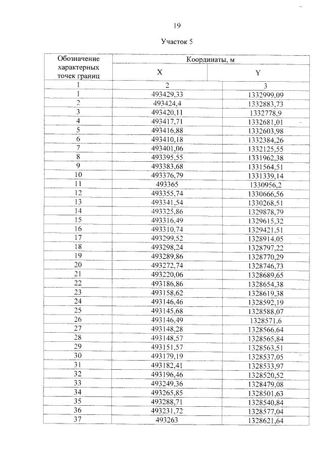
Постановление главы администрации (губернатора) Краснодарского края от 13.10.2016 № 799
"О государственном природном зоологическом заказнике регионального значения "Красный лес"
Номер опубликования: 2300201610200002
Дата опубликования: 20.10.2016
Страница №29 из 34:
Увеличить