Официальное опубликование правовых актов
ОФИЦИАЛЬНОЕ ОПУБЛИКОВАНИЕ
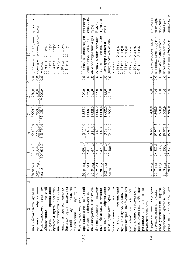
Постановление главы администрации (губернатора) Краснодарского края от 29.07.2016 № 561
"Об утверждении Порядка предоставления субсидий из краевого бюджета в рамках реализации мероприятий государственной программы Краснодарского края "Доступная среда" и о внесении изменений в некоторые нормативные правовые акты главы администрации (губернатора) Краснодарского края"
Номер опубликования: 2300201608040014
Дата опубликования: 04.08.2016
Страница №33 из 69:
Увеличить