Официальное опубликование правовых актов
ОФИЦИАЛЬНОЕ ОПУБЛИКОВАНИЕ
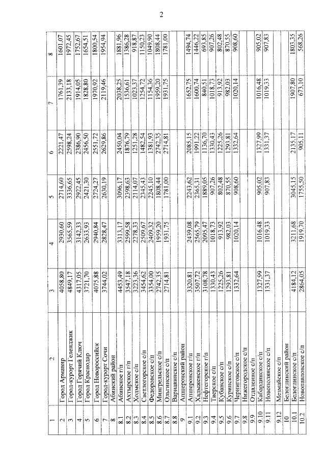
Постановление главы администрации (губернатора) Краснодарского края от 28.07.2016 № 542
"О внесении изменений в постановление главы администрации (губернатора) Краснодарского края от 25 января 2016 года № 25 "Об установлении размера региональных стандартов стоимости жилищно-коммунальных услуг в Краснодарском крае на 2016 год"
Номер опубликования: 2300201608020002
Дата опубликования: 02.08.2016
Страница №18 из 61:
Увеличить