Официальное опубликование правовых актов
ОФИЦИАЛЬНОЕ ОПУБЛИКОВАНИЕ
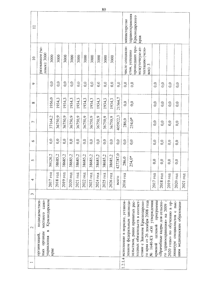
Постановление главы администрации (губернатора) Краснодарского края от 31.05.2016 № 337
"О внесении изменений в постановление главы администрации (губернатора) Краснодарского края от 12 октября 2015 года № 966 "Об утверждении государственной программы Краснодарского края "Развитие здравоохранения"
Номер опубликования: 2300201606060004
Дата опубликования: 06.06.2016
Страница №81 из 111:
Увеличить