Официальное опубликование правовых актов
ОФИЦИАЛЬНОЕ ОПУБЛИКОВАНИЕ
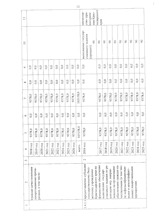
Постановление главы администрации (губернатора) Краснодарского края от 12.10.2015 № 966
"Об утверждении государственной программы Краснодарского края "Развитие здравоохранения"
Номер опубликования: 2300201510190002
Дата опубликования: 19.10.2015
Страница №171 из 188:
Увеличить