Официальное опубликование правовых актов
ОФИЦИАЛЬНОЕ ОПУБЛИКОВАНИЕ
Приказ Министерства здравоохранения Алтайского края от 27.02.2026 № 67
"О внесении изменений в приказ Министерства здравоохранения Алтайского края от 26.12.2023 № 600"
(Зарегистрирован 27.02.2026 № 232)
Номер опубликования: 2201202602270007
Дата опубликования: 27.02.2026
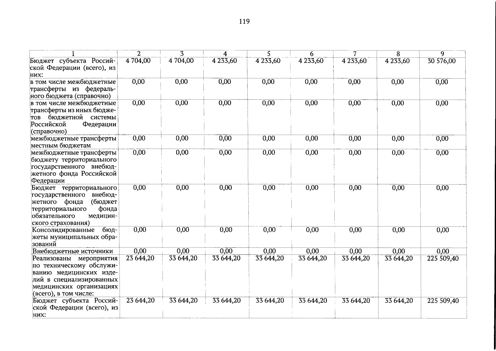
Страница №119 из 136:
Увеличить