Официальное опубликование правовых актов
ОФИЦИАЛЬНОЕ ОПУБЛИКОВАНИЕ
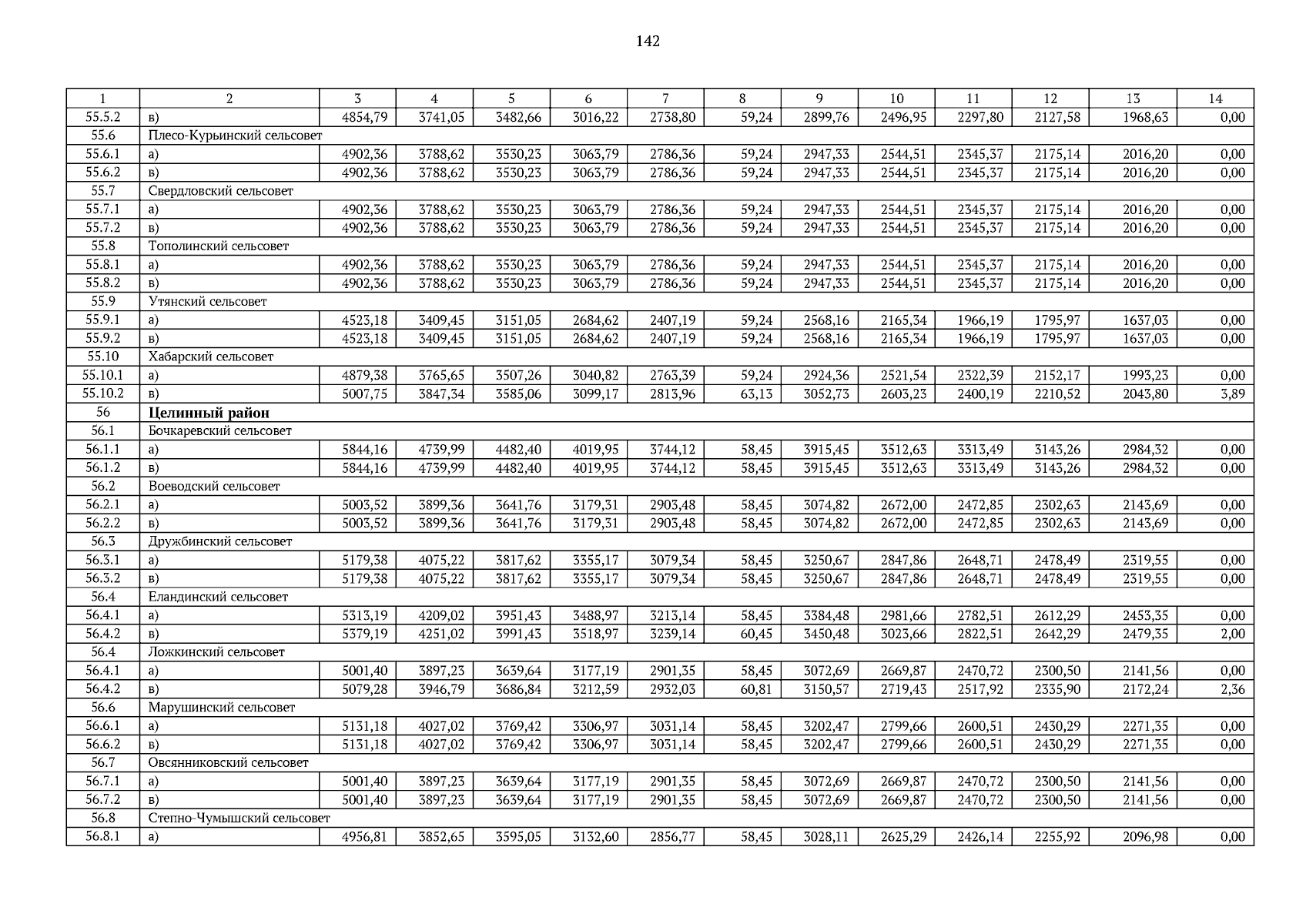
Решение Управления Алтайского края по государственному регулированию цен и тарифов от 29.12.2025 № 624
"Об установлении размеров краевых стандартов стоимости жилищно-коммунальных услуг на территории Алтайского края на 2026 год"
(Зарегистрирован 30.12.2025 № 2418)
Номер опубликования: 2201202512310001
Дата опубликования: 31.12.2025
Страница №142 из 146:
Увеличить