Официальное опубликование правовых актов
ОФИЦИАЛЬНОЕ ОПУБЛИКОВАНИЕ
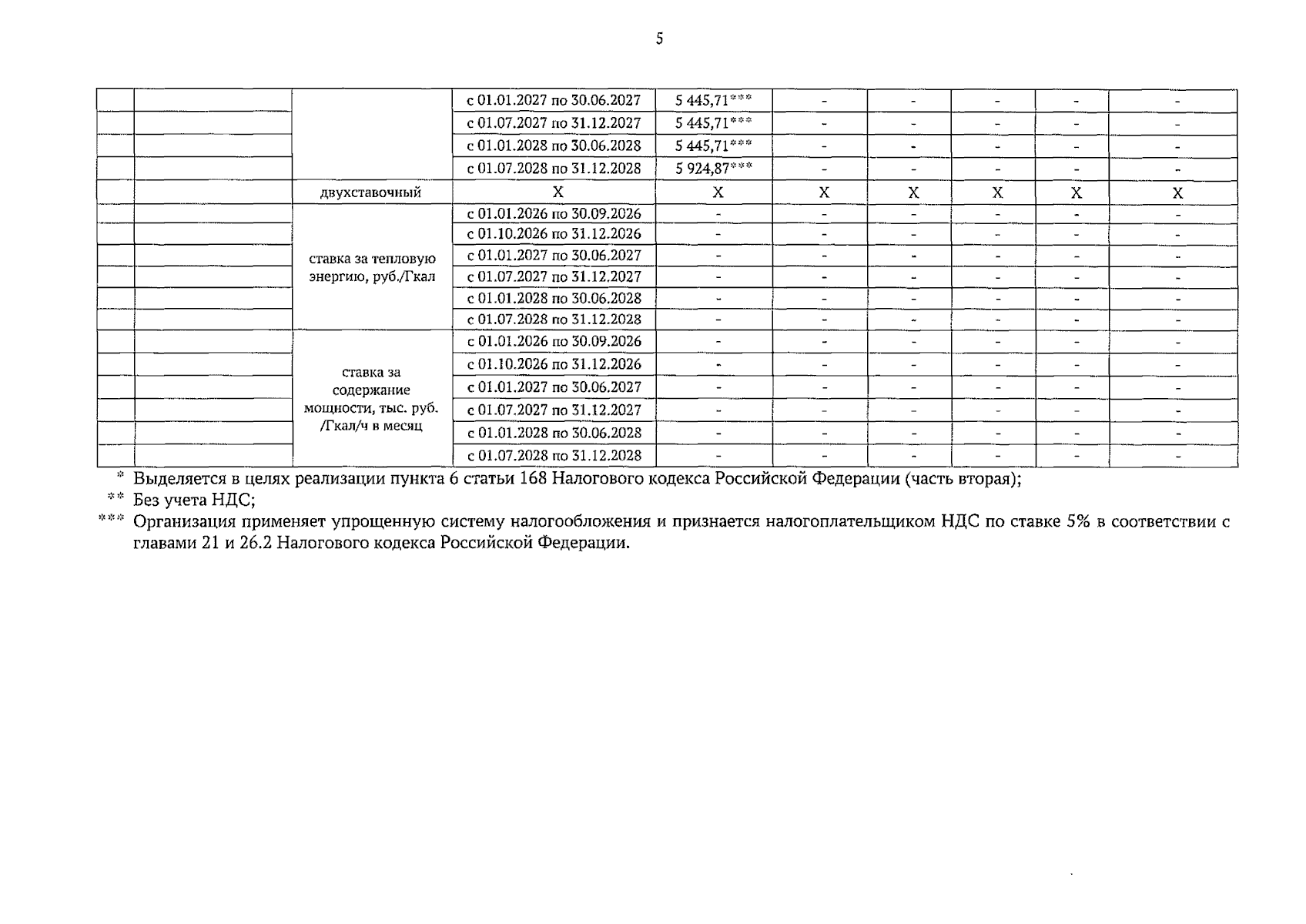
Решение Управления Алтайского края по государственному регулированию цен и тарифов от 19.12.2025 № 582
"Об установлении тарифов на тепловую энергию, поставляемую муниципальным унитарным предприятием "Профтепло" Кулундинского района Алтайского края потребителям муниципального округа Кулундинский район Алтайского края, на 2026-2028 годы"
(Зарегистрирован 24.12.2025 № 2318)
Номер опубликования: 2201202512240071
Дата опубликования: 24.12.2025
Страница №5 из 5:
Увеличить