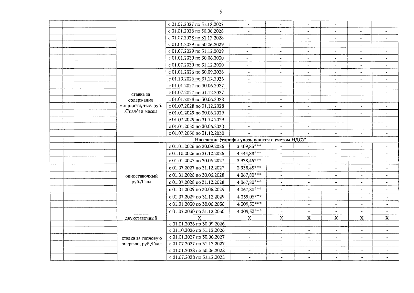
Решение Управления Алтайского края по государственному регулированию цен и тарифов от 19.12.2025 № 490
"Об установлении тарифов на тепловую энергию, поставляемую Муниципальным унитарным предприятием "Коммунальщик" муниципального образования муниципальный округ Залесовский район Алтайского края потребителям муниципального округа Залесовский район Алтайского края, на 2026-2030 годы"
(Зарегистрирован 23.12.2025 № 2218)
"Об установлении тарифов на тепловую энергию, поставляемую Муниципальным унитарным предприятием "Коммунальщик" муниципального образования муниципальный округ Залесовский район Алтайского края потребителям муниципального округа Залесовский район Алтайского края, на 2026-2030 годы"
(Зарегистрирован 23.12.2025 № 2218)
Номер опубликования: 2201202512230041
Дата опубликования:
23.12.2025
