Официальное опубликование правовых актов
ОФИЦИАЛЬНОЕ ОПУБЛИКОВАНИЕ
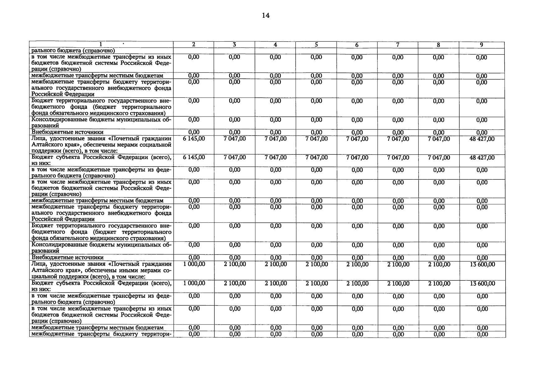
Приказ Министерства социальной защиты Алтайского края от 23.12.2025 № 27/Пр/997
"О внесении изменения в приказ Министерства социальной защиты Алтайского края от 27.12.2023 № 27/Пр/396"
(Зарегистрирован 23.12.2025 № 2189)
Номер опубликования: 2201202512230024
Дата опубликования: 23.12.2025
Страница №14 из 79:
Увеличить