Официальное опубликование правовых актов
ОФИЦИАЛЬНОЕ ОПУБЛИКОВАНИЕ
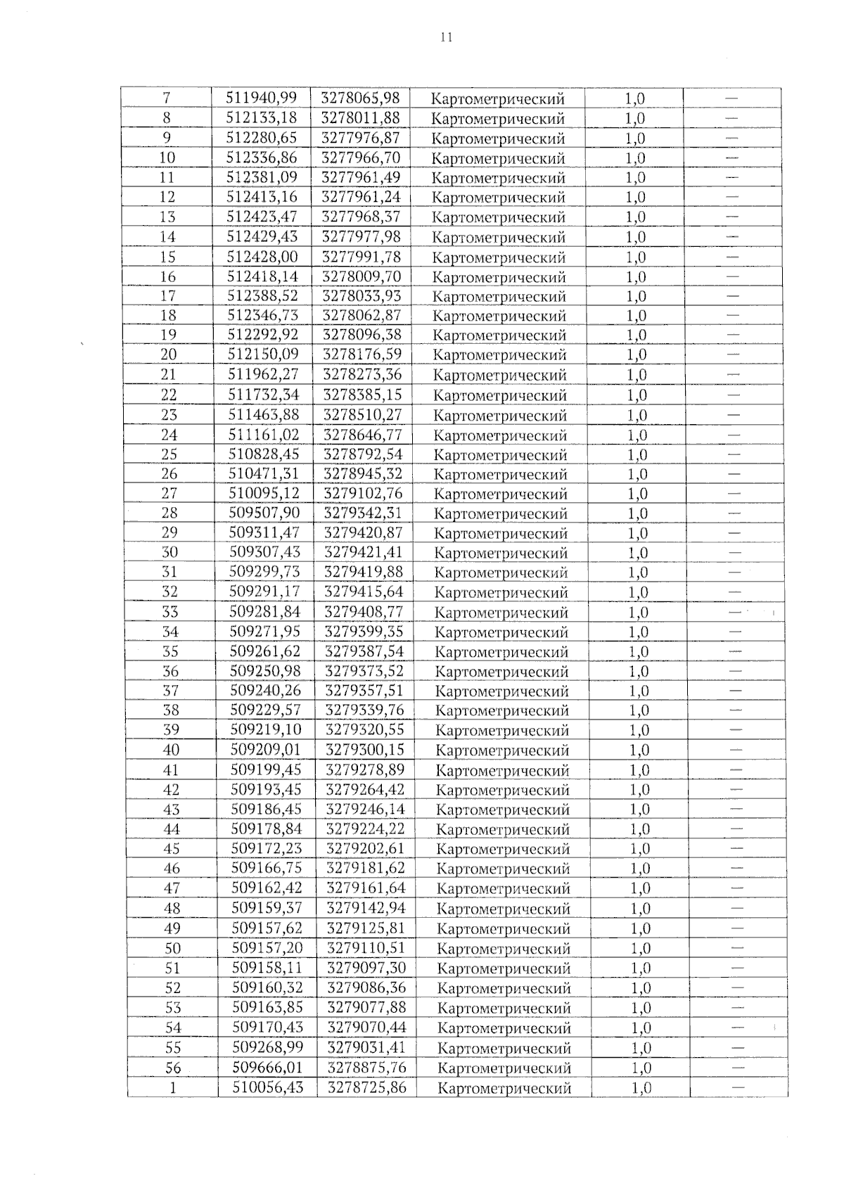
Приказ Министерства природных ресурсов и экологии Алтайского края от 17.12.2025 № 1408
"Об установлении зон санитарной охраны подземных источников питьевого и хозяйственно-бытового водоснабжения ООО "ЭСД-БиКЗ" (город Бийск, Алтайский край)"
(Зарегистрирован 17.12.2025 № 2005)
Номер опубликования: 2201202512170006
Дата опубликования: 17.12.2025
Страница №11 из 13:
Увеличить