Официальное опубликование правовых актов
ОФИЦИАЛЬНОЕ ОПУБЛИКОВАНИЕ
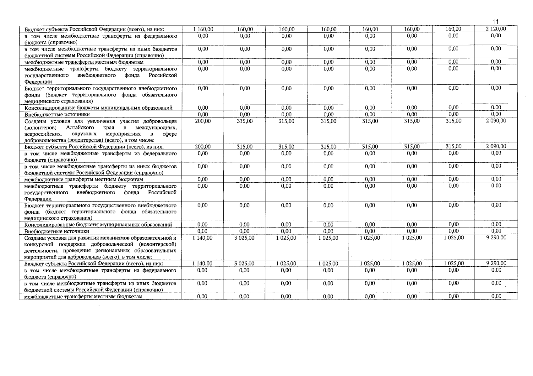
Приказ Управления молодежной политики и реализации программ общественного развития Алтайского края от 09.10.2025 № 49/О/229
"О внесении изменений в приказ управления молодежной политики и реализации программ общественного развития Алтайского края от 19.01.2024 N 49/О/10 (ред. от 12.08.2024 № 49/О/136, от 25.12.2024 № 49/О/256, от 13.03.2025 № 49/О/49, от 04.06.2025 № 49/О/127) "Об утверждении комплексов процессных мероприятий государственной программы Алтайского края "Развитие молодежной политики в Алтайском крае"
(Зарегистрирован 09.10.2025 № 1432)
Номер опубликования: 2201202510090009
Дата опубликования: 09.10.2025
Страница №11 из 22:
Увеличить