Официальное опубликование правовых актов
ОФИЦИАЛЬНОЕ ОПУБЛИКОВАНИЕ
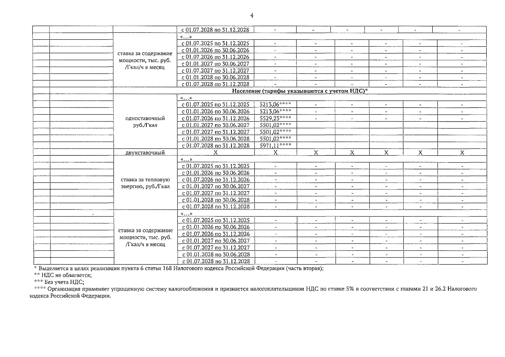
Решение Управления Алтайского края по государственному регулированию цен и тарифов от 10.09.2025 № 114
"О пересмотре тарифов на тепловую энергию, поставляемую муниципальным казенным предприятием "ЖилКомСервис" потребителям Поспелихинского района Алтайского края, на 2025-2028 годы"
(Зарегистрирован 10.09.2025 № 1272)
Номер опубликования: 2201202509100003
Дата опубликования: 10.09.2025
Страница №4 из 4:
Увеличить