Официальное опубликование правовых актов
ОФИЦИАЛЬНОЕ ОПУБЛИКОВАНИЕ
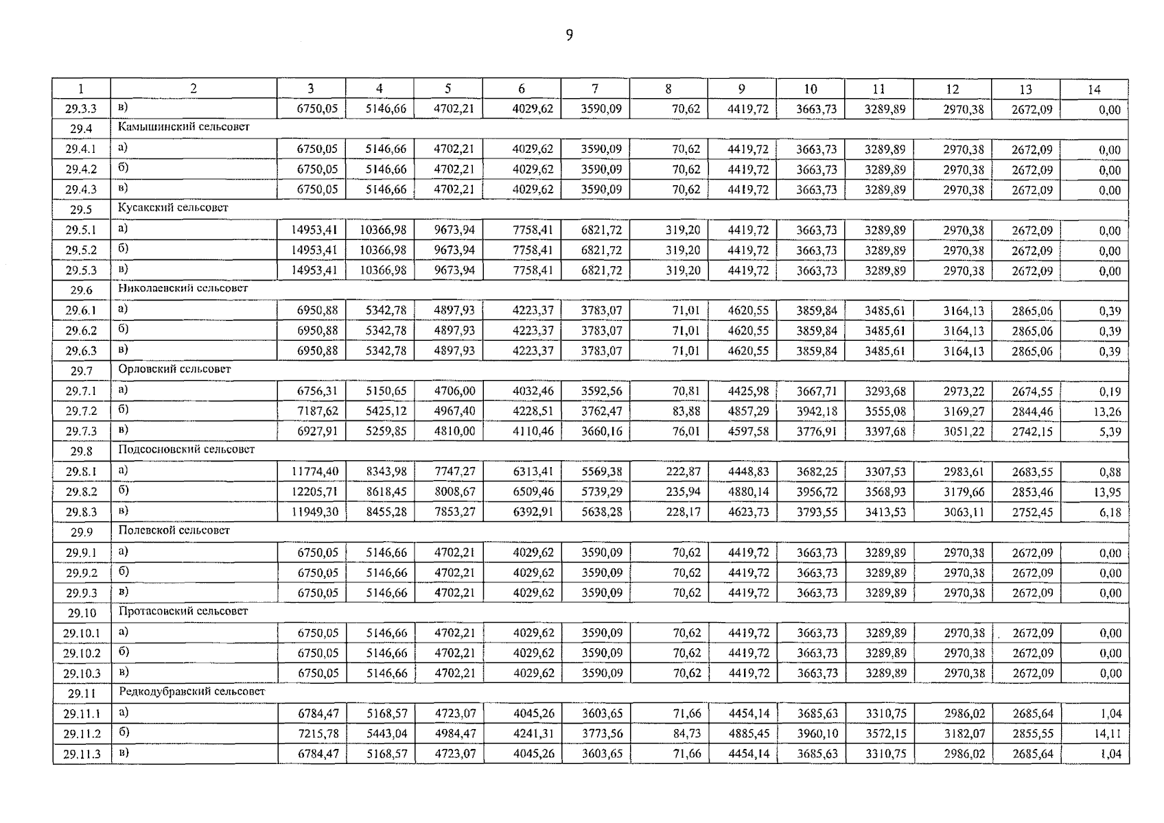
Решение Управления Алтайского края по государственному регулированию цен и тарифов от 03.09.2025 № 110
"О внесении изменений в решение управления Алтайского края по государственному регулированию цен и тарифов от 25.12.2024 № 557"
(Зарегистрирован 03.09.2025 № 1250)
Номер опубликования: 2201202509030005
Дата опубликования: 03.09.2025
Страница №9 из 13:
Увеличить