Официальное опубликование правовых актов
ОФИЦИАЛЬНОЕ ОПУБЛИКОВАНИЕ
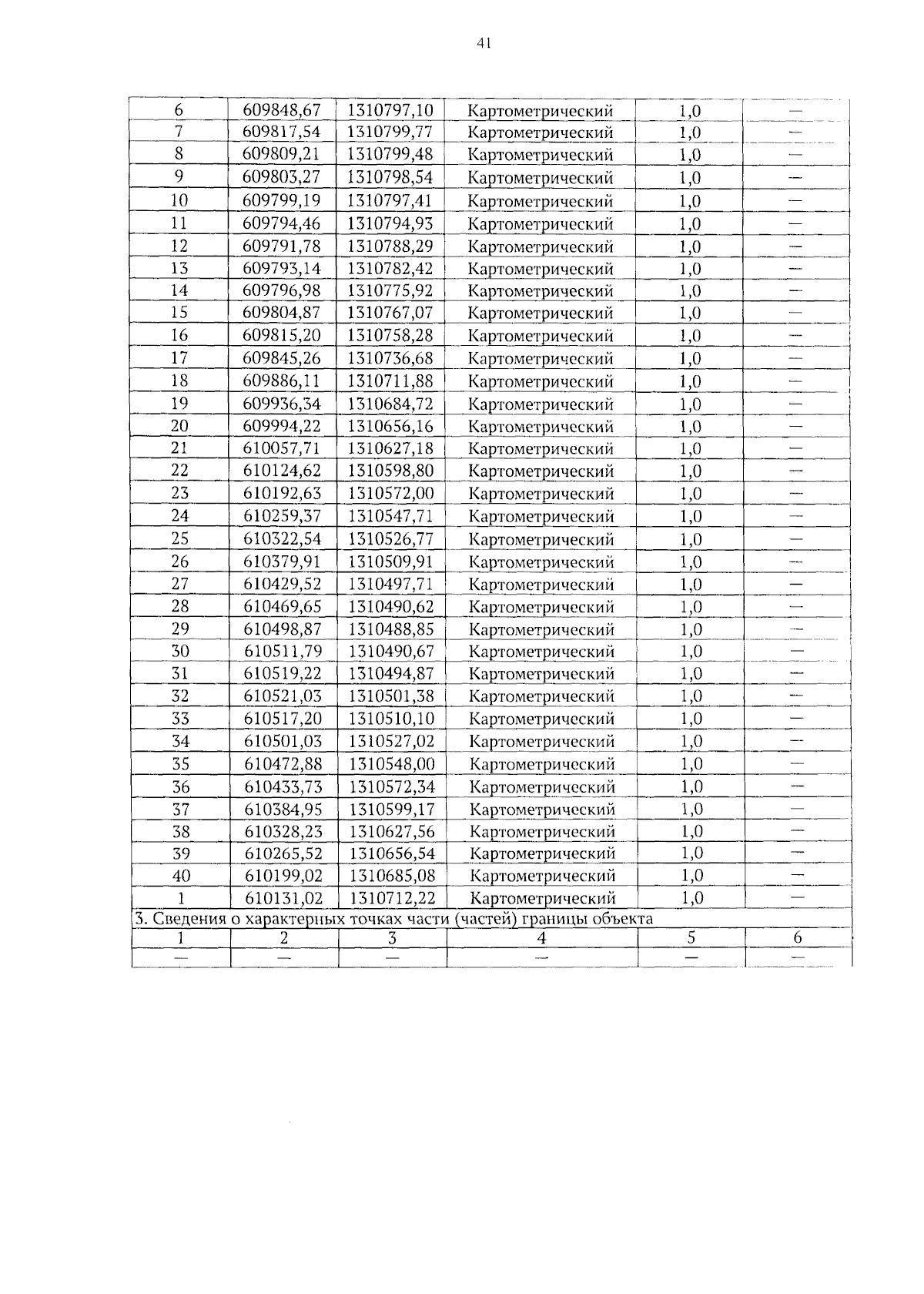
Приказ Министерства природных ресурсов и экологии Алтайского края от 05.08.2025 № 815
"Об установлении зон санитарной охраны подземных источников питьевого и хозяйственно-бытового водоснабжения АО "Свердловское" (Хабарский район, Алтайский край)"
(Зарегистрирован 05.08.2025 № 1114)
Номер опубликования: 2201202508050005
Дата опубликования: 05.08.2025
Страница №41 из 46:
Увеличить