Официальное опубликование правовых актов
ОФИЦИАЛЬНОЕ ОПУБЛИКОВАНИЕ
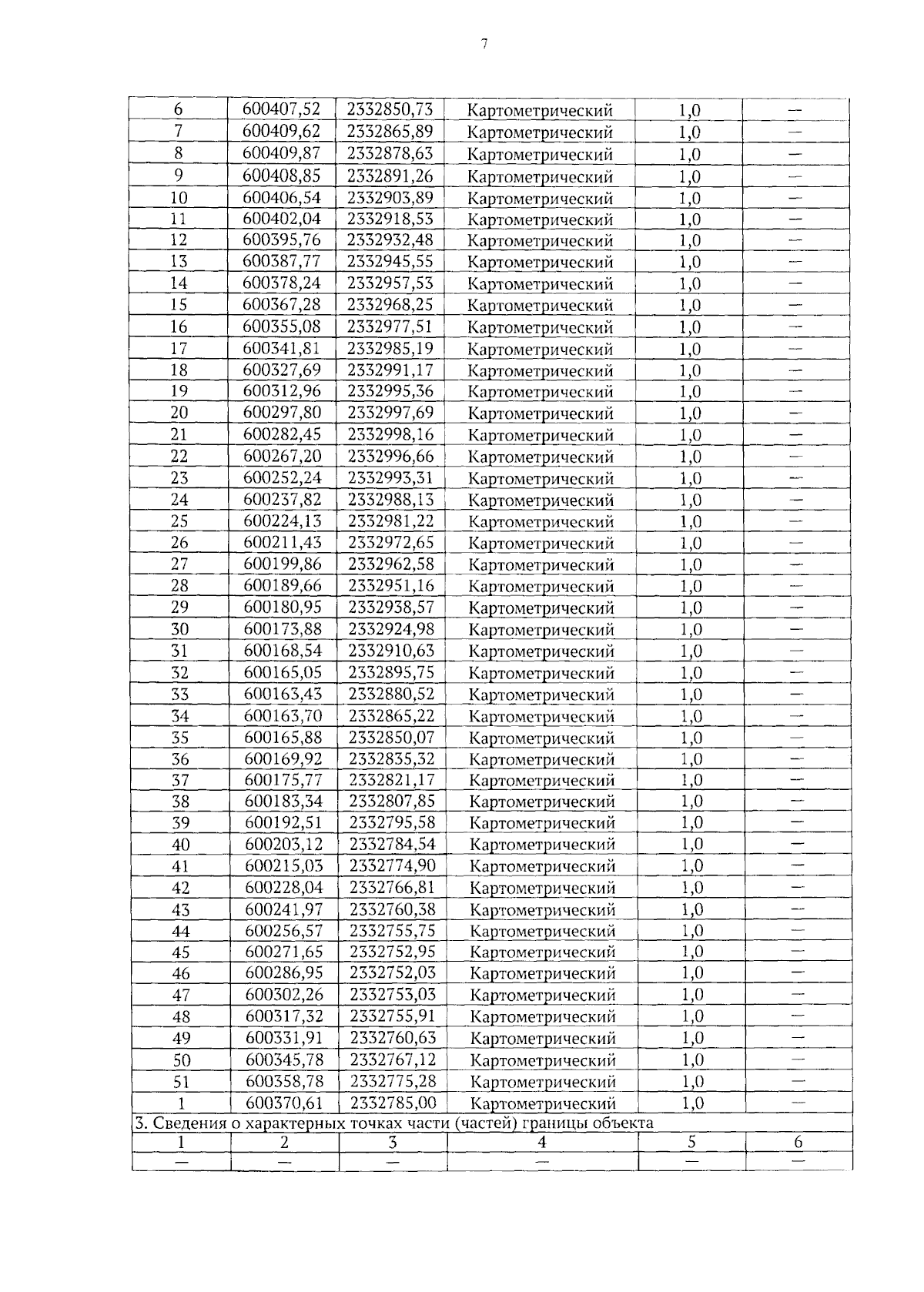
Приказ Министерства природных ресурсов и экологии Алтайского края от 14.07.2025 № 724
"Об установлении зон санитарной охраны подземных источников питьевого и хозяйственно-бытового водоснабжения ООО "Павловский деревообрабатывающий комбинат" (Павловский район, Алтайский край)"
(Зарегистрирован 14.07.2025 № 1032)
Номер опубликования: 2201202507150002
Дата опубликования: 15.07.2025
Страница №7 из 21:
Увеличить