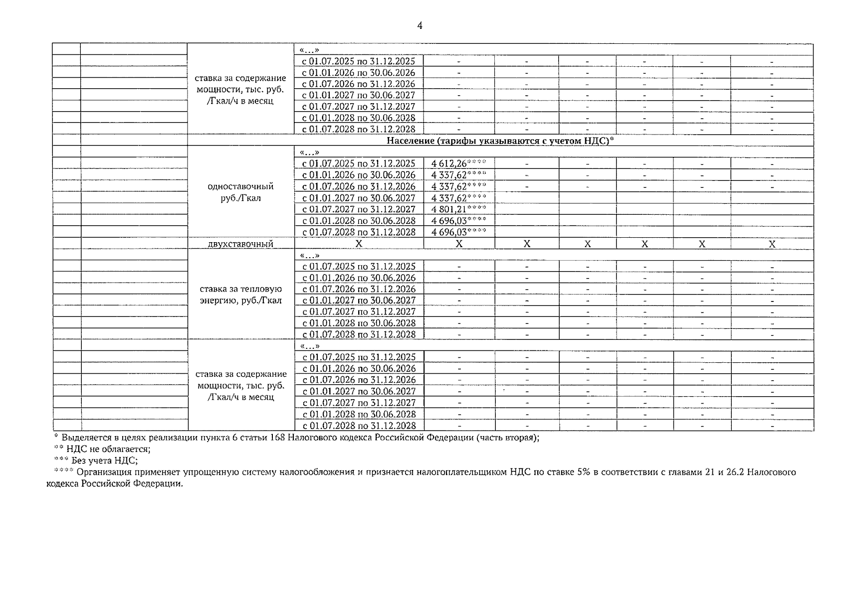
Решение Управления Алтайского края по государственному регулированию цен и тарифов от 09.07.2025 № 88
"О пересмотре тарифов на тепловую энергию, поставляемую муниципальным унитарным предприятием основанным на праве хозяйственного ведения "Павловские коммунальные системы" потребителям Павловского района Алтайского края, на 2025-2028 годы"
(Зарегистрирован 10.07.2025 № 1014)
"О пересмотре тарифов на тепловую энергию, поставляемую муниципальным унитарным предприятием основанным на праве хозяйственного ведения "Павловские коммунальные системы" потребителям Павловского района Алтайского края, на 2025-2028 годы"
(Зарегистрирован 10.07.2025 № 1014)
Номер опубликования: 2201202507100001
Дата опубликования:
10.07.2025
