Официальное опубликование правовых актов
ОФИЦИАЛЬНОЕ ОПУБЛИКОВАНИЕ
Приказ Министерства строительства и жилищно-коммунального хозяйства Алтайского края от 05.03.2025 № 153
"О внесении изменений в приказ Министерства строительства и жилищно-коммунального хозяйства Алтайского края от 06.11.2024 № 815"
(Зарегистрирован 05.03.2025 № 268)
Номер опубликования: 2201202503050004
Дата опубликования: 05.03.2025
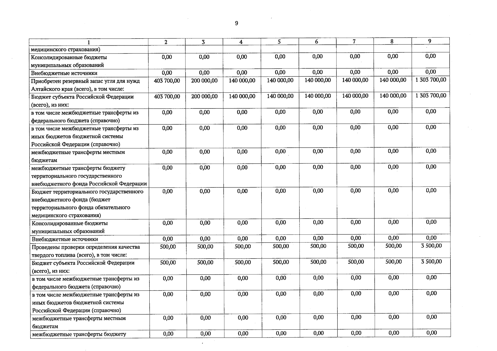
Страница №9 из 25:
Увеличить