Официальное опубликование правовых актов
ОФИЦИАЛЬНОЕ ОПУБЛИКОВАНИЕ
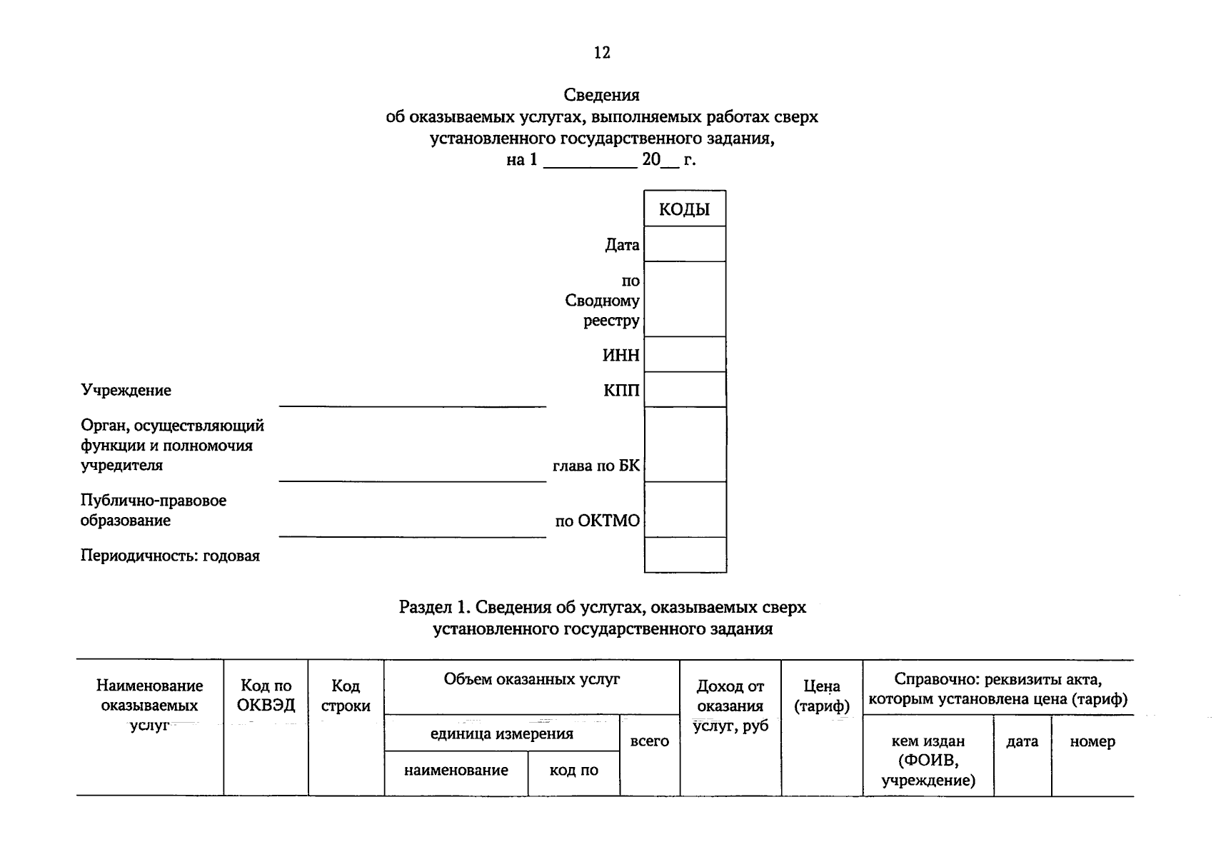
Приказ Министерства здравоохранения Алтайского края от 26.02.2025 № 56
"О внесении изменений в приказ Министерства здравоохранения Алтайского края от 22.03.2023 № 111"
(Зарегистрирован 27.02.2025 № 230)
Номер опубликования: 2201202502270006
Дата опубликования: 27.02.2025
Страница №12 из 95:
Увеличить