Официальное опубликование правовых актов
ОФИЦИАЛЬНОЕ ОПУБЛИКОВАНИЕ
Приказ Управления государственной охраны объектов культурного наследия Алтайского края от 19.12.2024 № 1151
"Об установлении зоны охраны объекта культурного наследия регионального значения "Братская могила борцов, павших за власть Советов", 1918 г., расположенного по адресу: Алтайский край, Солонешенский район, с. Медведевка, в 30 метрах в северном направлении от трассы Бийск – Солонешное, утверждении режима использования земель и требований к градостроительным регламентам в границах территории данной зоны"
(Зарегистрирован 19.12.2024 № 2152)
Номер опубликования: 2201202412190041
Дата опубликования: 19.12.2024
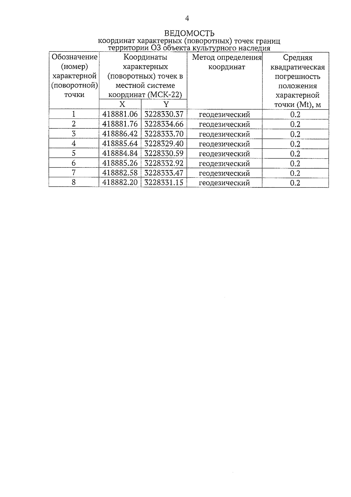
Страница №4 из 7:
Увеличить