Приказ Управления государственной охраны объектов культурного наследия Алтайского края от 12.12.2024 № 994
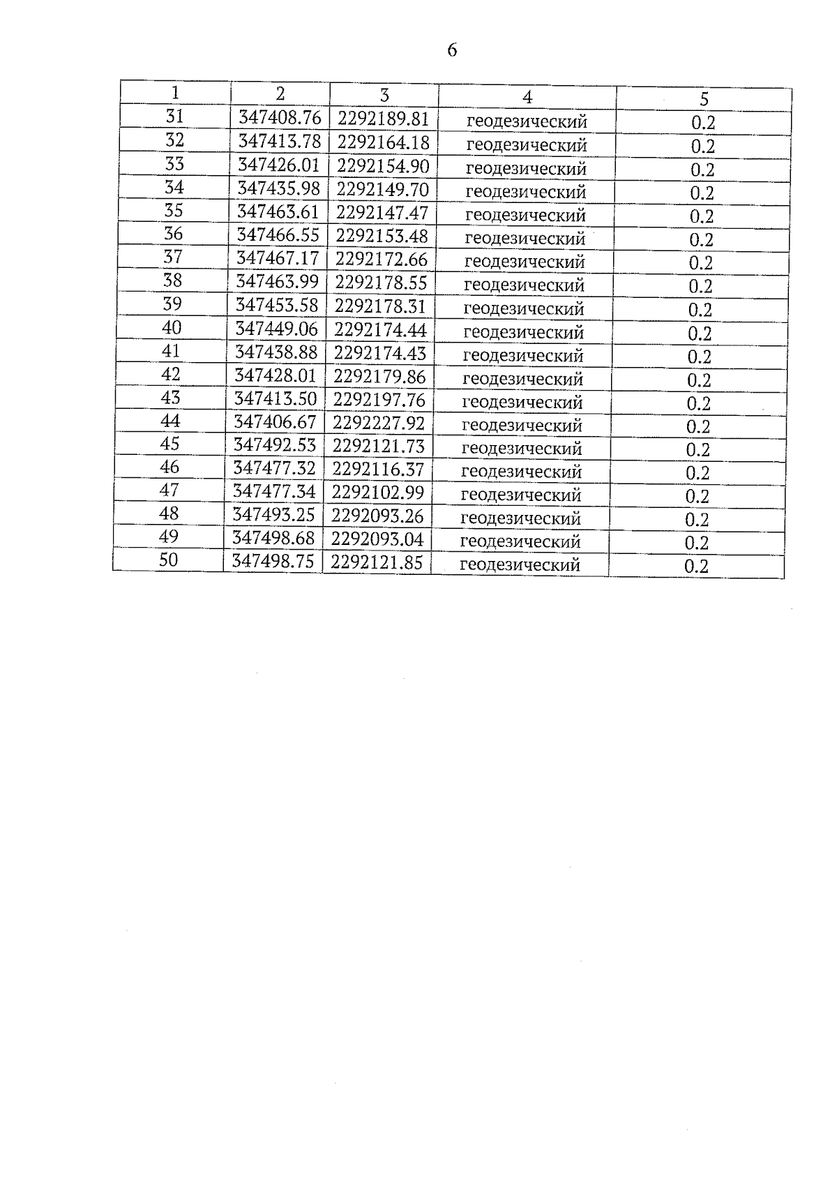
"Об установлении зоны охраны объекта культурного наследия регионального значения "Гольцовский рудник (шахты, ямы-закопушки)", 1720-е – 1730-е гг., расположенного по адресу: Алтайский край, Змеиногорский район, в окрестностях села Гальцовка, утверждении режима использования земель и требований к градостроительным регламентам в границах территории данной зоны"
(Зарегистрирован 13.12.2024 № 2013)
"Об установлении зоны охраны объекта культурного наследия регионального значения "Гольцовский рудник (шахты, ямы-закопушки)", 1720-е – 1730-е гг., расположенного по адресу: Алтайский край, Змеиногорский район, в окрестностях села Гальцовка, утверждении режима использования земель и требований к градостроительным регламентам в границах территории данной зоны"
(Зарегистрирован 13.12.2024 № 2013)
Номер опубликования: 2201202412160017
Дата опубликования:
16.12.2024
