Официальное опубликование правовых актов
ОФИЦИАЛЬНОЕ ОПУБЛИКОВАНИЕ
Приказ Управления государственной охраны объектов культурного наследия Алтайского края от 12.12.2024 № 978
"Об установлении зоны охраны объекта культурного наследия регионального значения "Братская могила партизан", 1919 г., расположенного по адресу: Алтайский край, Алейский район, с. Большепанюшево, территория муниципального кладбища, утверждении режима использования земель и требований к градостроительным регламентам в границах территории данной зоны"
(Зарегистрирован 13.12.2024 № 2026)
Номер опубликования: 2201202412160007
Дата опубликования: 16.12.2024
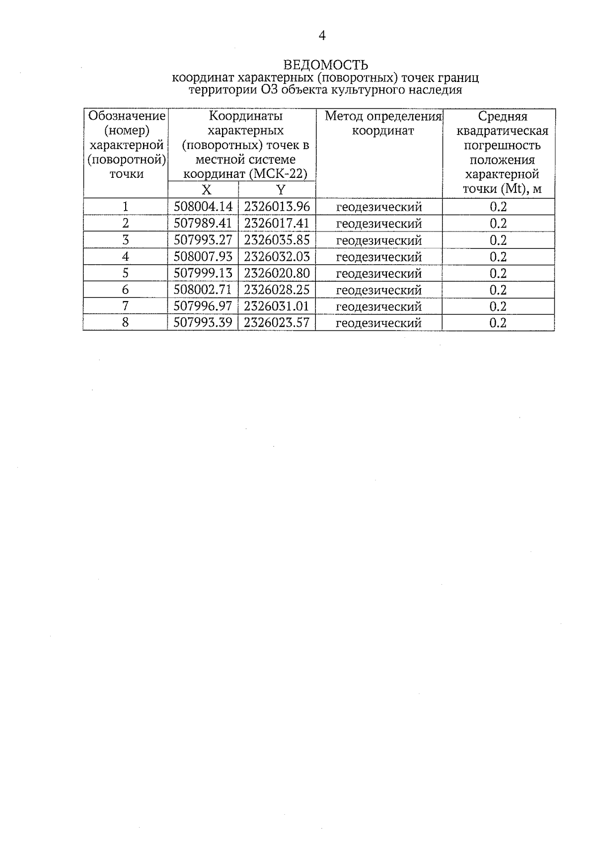
Страница №4 из 7:
Увеличить