Официальное опубликование правовых актов
ОФИЦИАЛЬНОЕ ОПУБЛИКОВАНИЕ
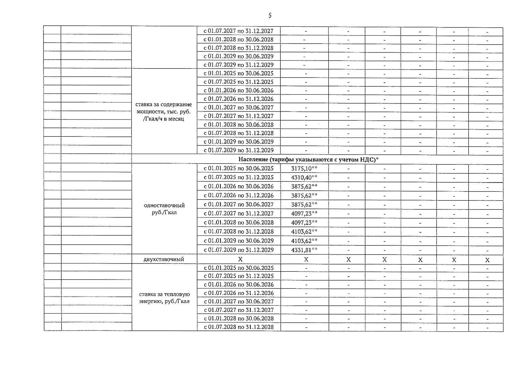
Решение Управления Алтайского края по государственному регулированию цен и тарифов от 11.12.2024 № 446
"Об установлении тарифов на тепловую энергию, поставляемую муниципальным казенным предприятием Егорьевского района "Мираж" потребителям Егорьевского района Алтайского края, на 2025-2029 годы"
(Зарегистрирован 13.12.2024 № 1990)
Номер опубликования: 2201202412130010
Дата опубликования: 13.12.2024
Страница №5 из 6:
Увеличить