Решение Управления Алтайского края по государственному регулированию цен и тарифов от 11.12.2024 № 410
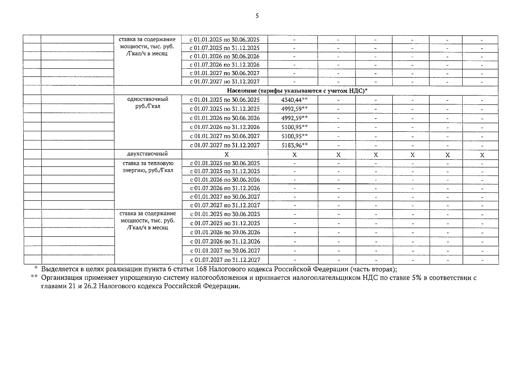
"Об установлении тарифов на тепловую энергию, поставляемую муниципальным унитарным предприятием "Теплосбыт" Михайловского района Алтайского края потребителям Михайловского района Алтайского края, на 2025-2027 годы"
(Зарегистрирован 12.12.2024 № 1952)
"Об установлении тарифов на тепловую энергию, поставляемую муниципальным унитарным предприятием "Теплосбыт" Михайловского района Алтайского края потребителям Михайловского района Алтайского края, на 2025-2027 годы"
(Зарегистрирован 12.12.2024 № 1952)
Номер опубликования: 2201202412120062
Дата опубликования:
12.12.2024
