Официальное опубликование правовых актов
ОФИЦИАЛЬНОЕ ОПУБЛИКОВАНИЕ
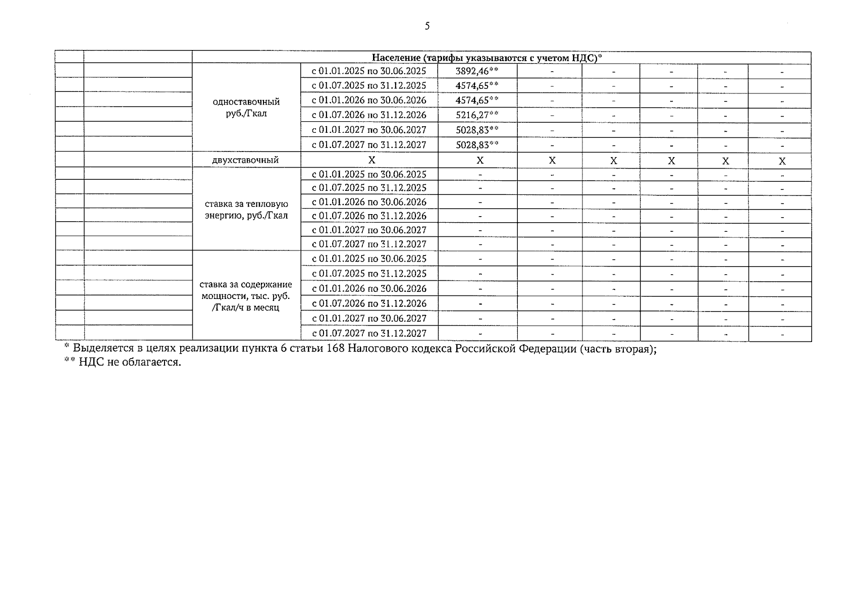
Решение Управления Алтайского края по государственному регулированию цен и тарифов от 11.12.2024 № 407
"Об установлении тарифов на тепловую энергию, поставляемую муниципальным казенным предприятием "Ельцовское коммунальное хозяйство" Ельцовского района Алтайского края потребителям Ельцовского района Алтайского края, на 2025-2027 годы"
(Зарегистрирован 12.12.2024 № 1949)
Номер опубликования: 2201202412120058
Дата опубликования: 12.12.2024
Страница №5 из 5:
Увеличить