Официальное опубликование правовых актов
ОФИЦИАЛЬНОЕ ОПУБЛИКОВАНИЕ
Приказ Министерства экономического развития Алтайского края от 28.11.2024 № 19
"О внесении изменений в приказ Министерства экономического развития Алтайского края от 22.12.2023 № 19"
(Зарегистрирован 29.11.2024 № 1723)
Номер опубликования: 2201202411290001
Дата опубликования: 29.11.2024
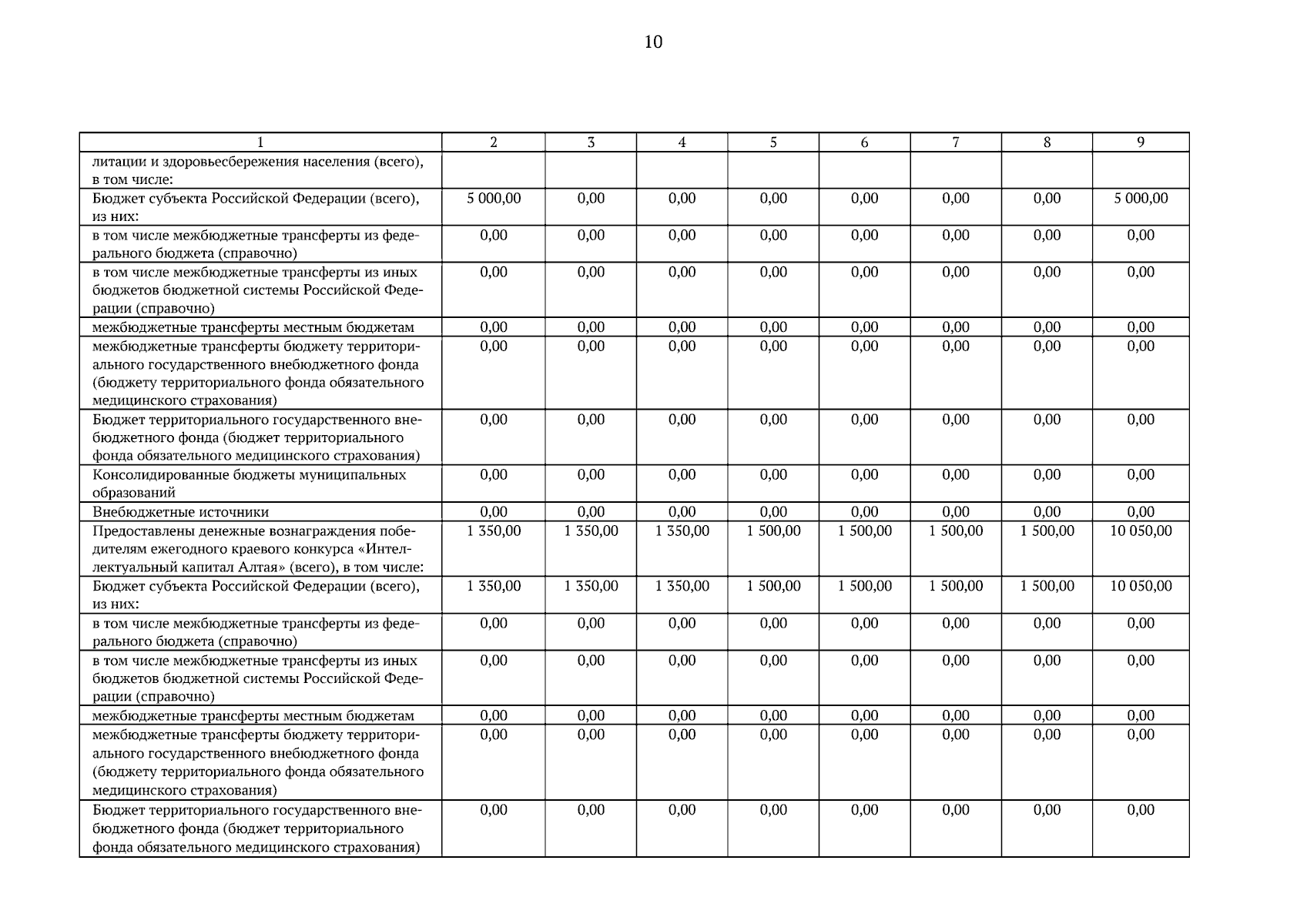
Страница №10 из 27:
Увеличить