Официальное опубликование правовых актов
ОФИЦИАЛЬНОЕ ОПУБЛИКОВАНИЕ
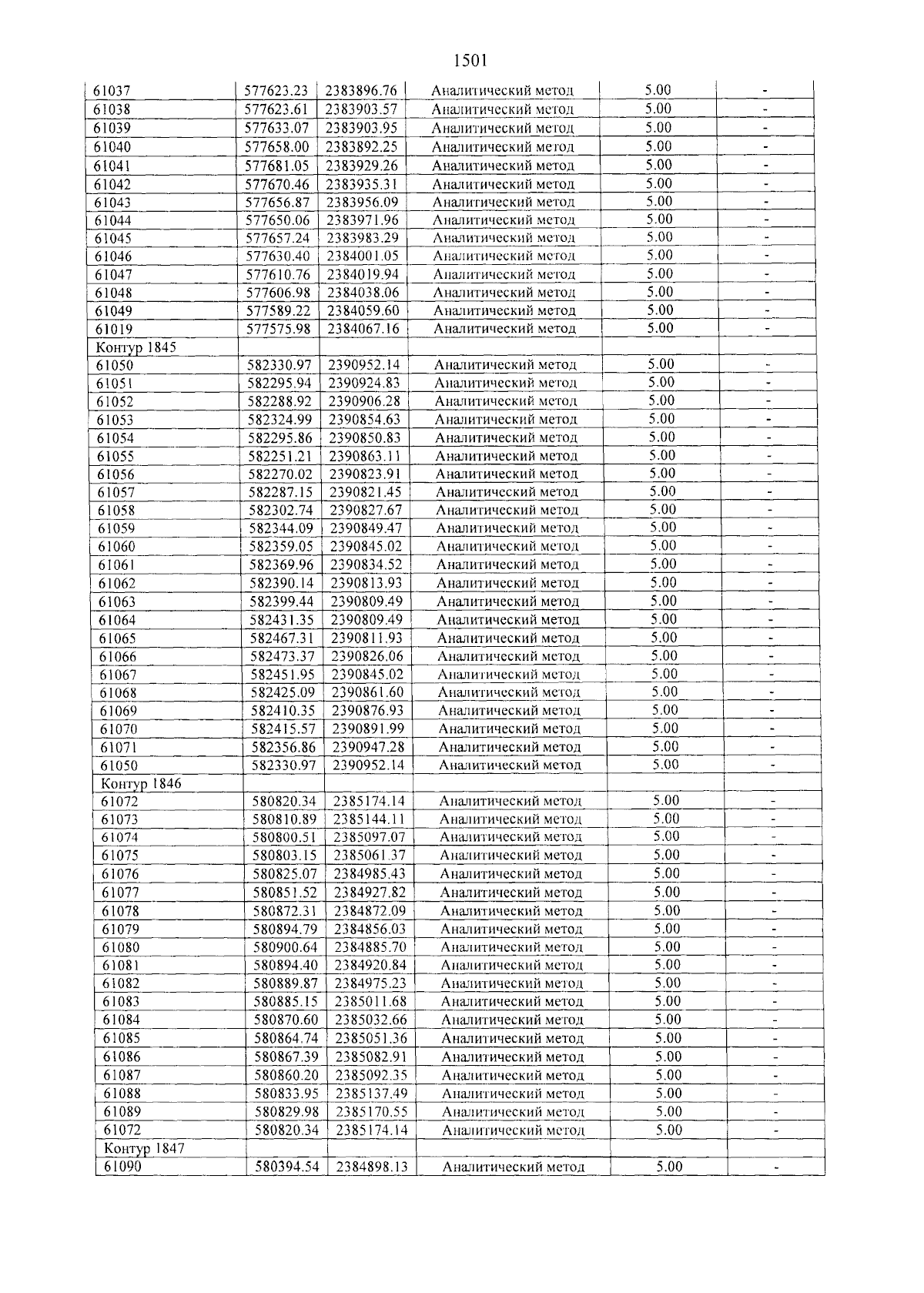
Приказ Министерства природных ресурсов и экологии Алтайского края от 25.11.2024 № 1400
"Об установлении границ лесопаркового зеленого пояса города Барнаула"
(Зарегистрирован 26.11.2024 № 1673)
Номер опубликования: 2201202411260007
Дата опубликования: 26.11.2024
Страница №1501 из 1608:
Увеличить