Официальное опубликование правовых актов
ОФИЦИАЛЬНОЕ ОПУБЛИКОВАНИЕ
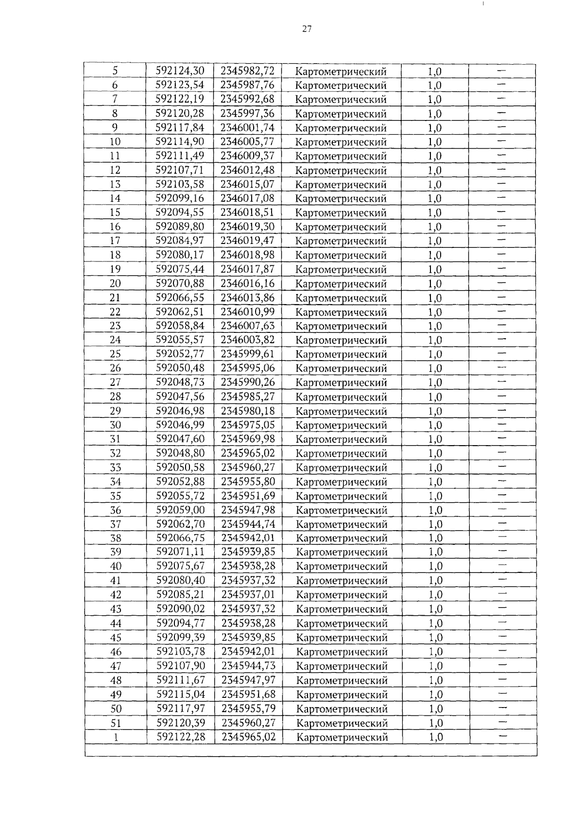
Приказ Министерства природных ресурсов и экологии Алтайского края от 18.11.2024 № 1362
"Об установлении зон санитарной охраны подземных источников питьевого и хозяйственно-бытового водоснабжения ПЗ "Комсомольское" - филиал ФГБНУ "ФАНЦА" (поселок Комсомольский, поселок Озерный, поселок Урожайный, Павловский район, Алтайский край)"
(Зарегистрирован 19.11.2024 № 1599)
Номер опубликования: 2201202411190003
Дата опубликования: 19.11.2024
Страница №27 из 53:
Увеличить