Официальное опубликование правовых актов
ОФИЦИАЛЬНОЕ ОПУБЛИКОВАНИЕ
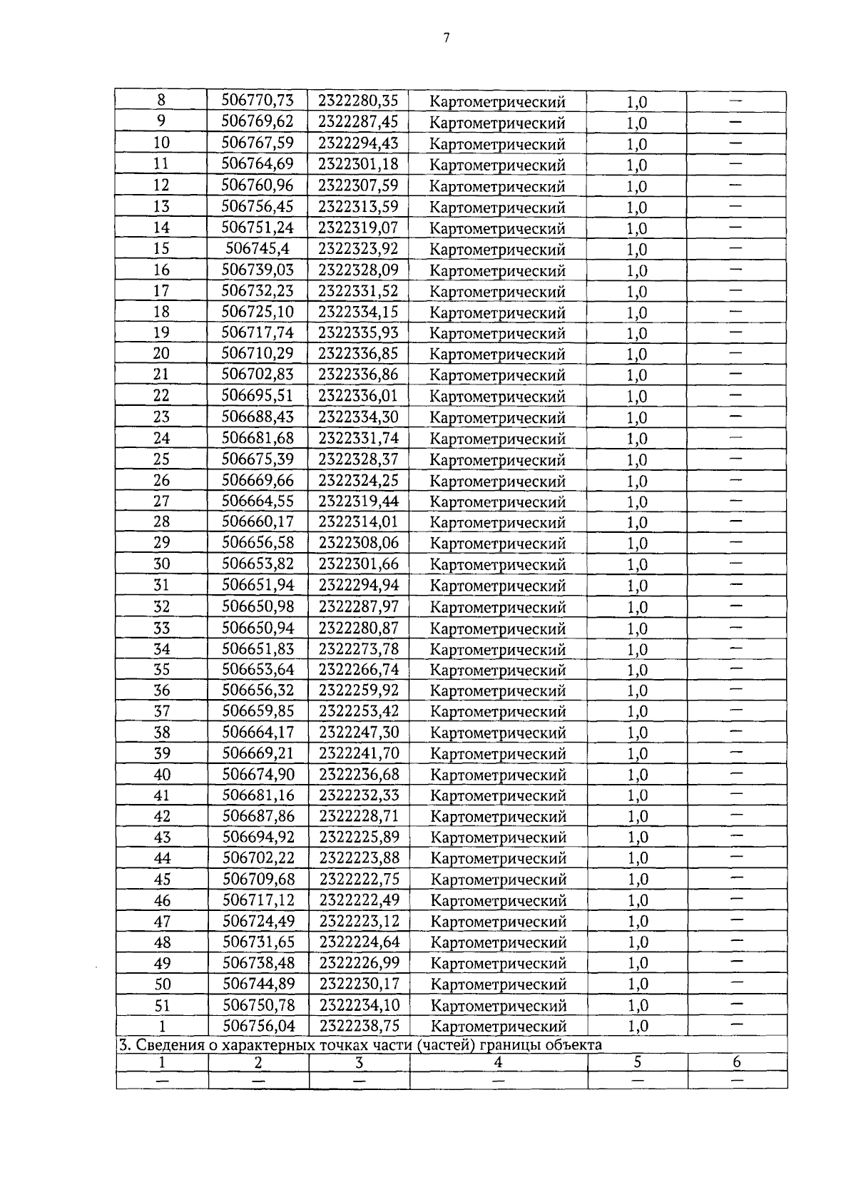
Приказ Министерства природных ресурсов и экологии Алтайского края от 03.10.2024 № 1147
"Об установлении зон санитарной охраны подземного источника питьевого и хозяйственно-бытового водоснабжения ООО "Горизонт" (город Барнаул, Алтайский край)"
(Зарегистрирован 03.10.2024 № 1226)
Номер опубликования: 2201202410030011
Дата опубликования: 03.10.2024
Страница №7 из 13:
Увеличить