Официальное опубликование правовых актов
ОФИЦИАЛЬНОЕ ОПУБЛИКОВАНИЕ
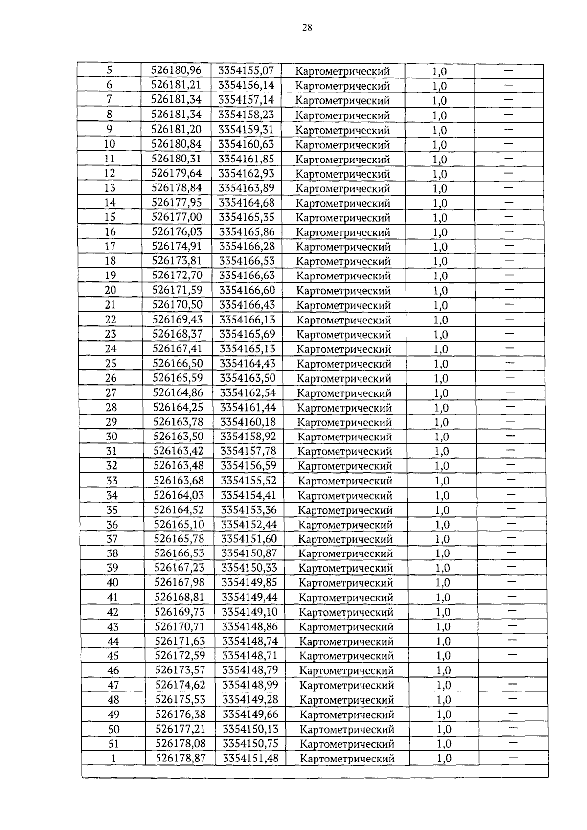
Приказ Министерства природных ресурсов и экологии Алтайского края от 02.10.2024 № 1145
"Об установлении зон санитарной охраны подземных источников питьевого и хозяйственно-бытового водоснабжения населения села Карабинка Солтонского района Алтайского края"
(Зарегистрирован 03.10.2024 № 1224)
Номер опубликования: 2201202410030006
Дата опубликования: 03.10.2024
Страница №28 из 46:
Увеличить