Официальное опубликование правовых актов
ОФИЦИАЛЬНОЕ ОПУБЛИКОВАНИЕ
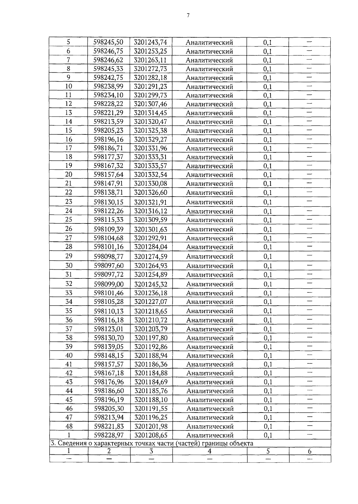
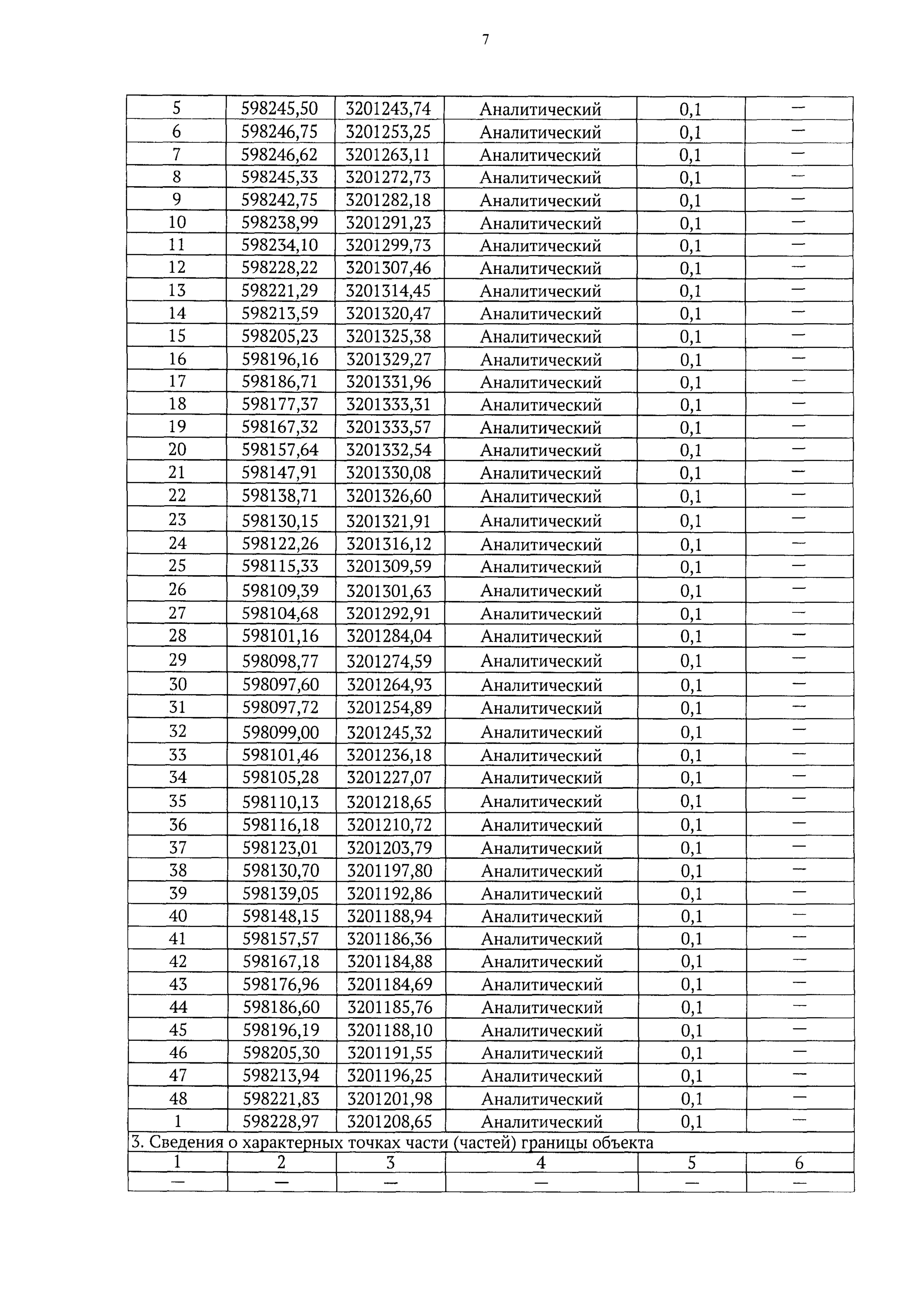
Приказ Министерства природных ресурсов и экологии Алтайского края от 02.09.2024 № 1005
"Об установлении зон санитарной охраны подземных источников питьевого и хозяйственно-бытового водоснабжения ТСН "Фирсова слобода" (село Фирсово, Первомайский район, Алтайский край)"
(Зарегистрирован 03.09.2024 № 965)
Номер опубликования: 2201202409030007
Дата опубликования: 03.09.2024
Страница №7 из 13: