Официальное опубликование правовых актов
ОФИЦИАЛЬНОЕ ОПУБЛИКОВАНИЕ
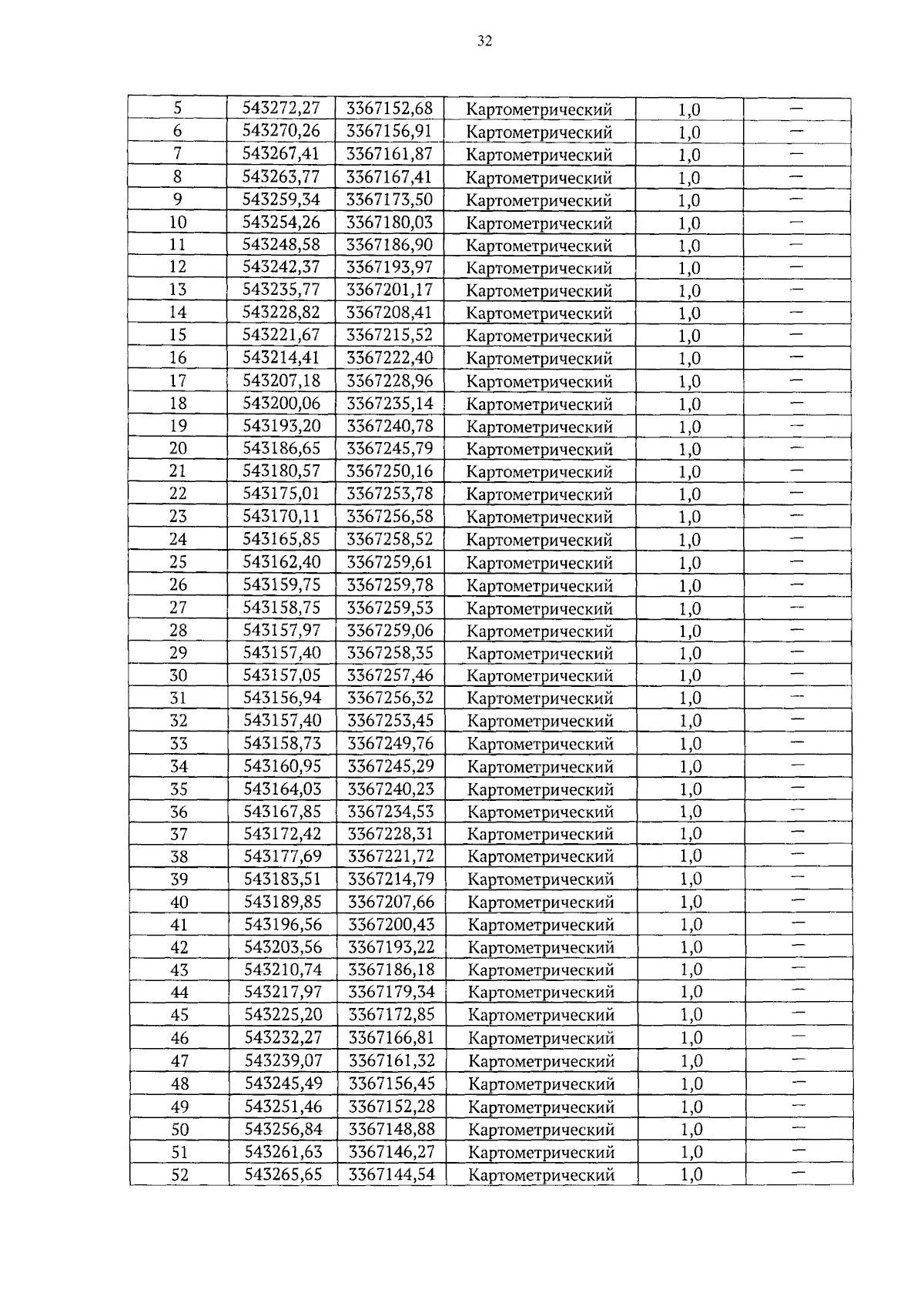
Приказ Министерства природных ресурсов и экологии Алтайского края от 30.08.2024 № 996
"Об установлении зон санитарной охраны подземных источников питьевого и хозяйственно-бытового водоснабжения населения сел Солтон и Шатобал Солтонского района Алтайского края"
(Зарегистрирован 02.09.2024 № 947)
Номер опубликования: 2201202409020008
Дата опубликования: 02.09.2024
Страница №32 из 59:
Увеличить