Официальное опубликование правовых актов
ОФИЦИАЛЬНОЕ ОПУБЛИКОВАНИЕ
Приказ Министерства социальной защиты Алтайского края от 22.08.2024 № 27/Пр/506
"О некоторых приказах Главного управления Алтайского края по труду и социальной защите, Министерства труда и социальной защиты Алтайского края, Министерства социальной защиты Алтайского края"
(Зарегистрирован 23.08.2024 № 863)
Номер опубликования: 2201202408230011
Дата опубликования: 23.08.2024
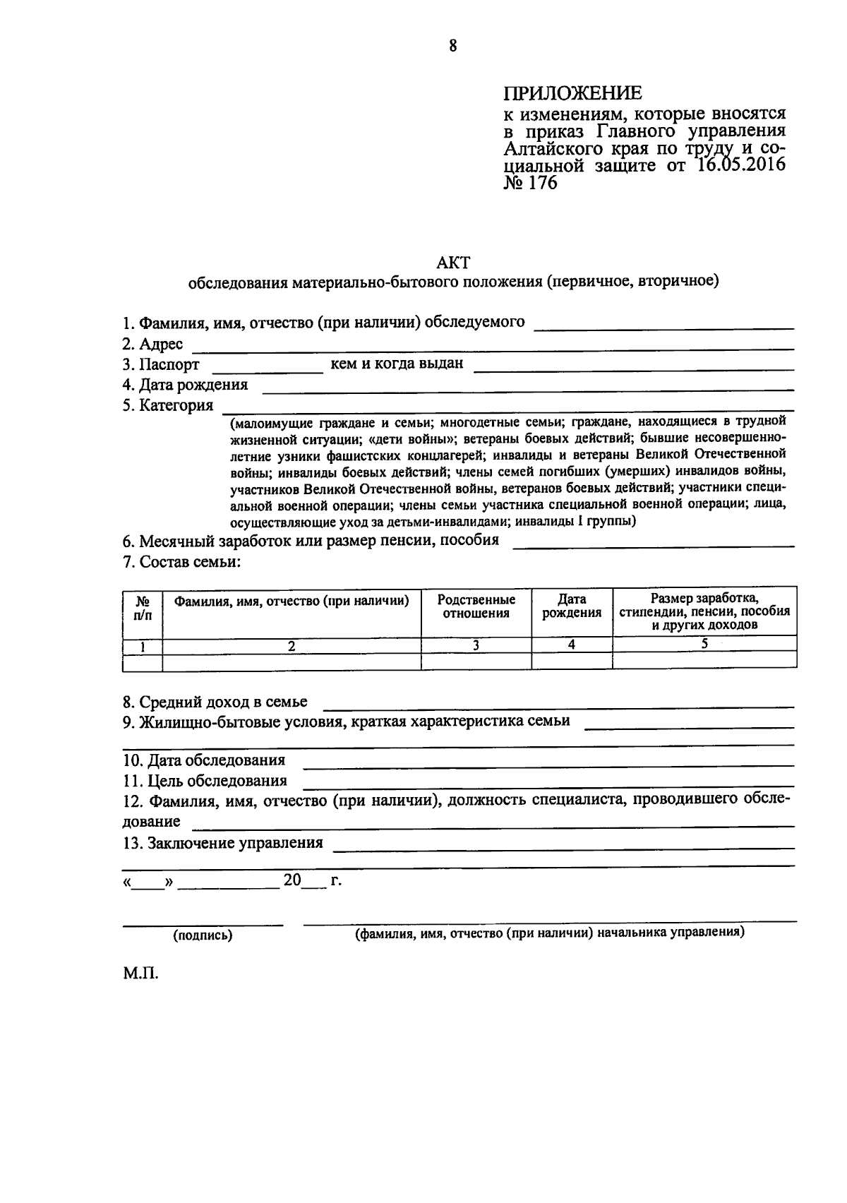
Страница №8 из 8:
Увеличить